基本信息
| 产品名称 |
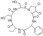
17,18-二氯-7-乙基十二氢-10,13-二(羟基甲基)-3-苯基吡咯并(2,1-c)(1,4,7,10,13)五氮杂环十六碳八烯-1,5,8,11,14(2H)-五酮 |
| 英文名 |
17,18-Dichloro-7-ethyldodecahydro-10,13-bis(hydroxymethyl)-3-phenylpyrrolo(2,1-c)(1,4,7,10,13)pentaazacyclohexadecine-1,5,8,11,14(2H)-pentone |
| 别名 |
17,18-Dichloro-9-Ethyl-3,6-Dimethylol-13-Phenyl-1,4,7,10,14-Pentazabicyclo[14.3.0]Nonadecane-2,5,8,11,15-Pentone; 17,18-Dichloro-7-Ethyldodecahydro-10,13-Bis(Hydroxymethyl)-3-Phenylpyrrolo(2,1-C)(1,4,7,10,13)Pentaazacyclohexadecine-1,5,8,11,14(2H)-Pentone; Pyrrolo(2,1-C)(1,4,7,10,13)Pentaazacyclohexadecine-1,5,8,11,14(2H)-Pentone, 17,18-Dichloro-7-Ethyldodecahydro-10,13-Bis(Hydroxymethyl)-3-Phenyl- |
|
| 分子结构 |
 |
| 分子式 |
C24H31Cl2N5O7 |
| 分子量 |
572.44 |
| CAS 登录号 |
10089-09-5 |
| 分子行输入简码 SMILES |
C3=C(C1NC(=O)C2N(C(=O)C(NC(=O)C(NC(=O)C(NC(=O)C1)CC)CO)CO)CC(Cl)C2Cl)C=CC=C3 |
| 国际化学标识码 InChI |
1S/C24H31Cl2N5O7/c1-2-14-21(35)29-16(10-32)22(36)30-17(11-33)24(38)31-9-13(25)19(26)20(31)23(37)28-15(8-18(34)27-14)12-6-4-3-5-7-12/h3-7,13-17,19-20,32-33H,2,8-11H2,1H3,(H,27,34)(H,28,37)(H,29,35)(H,30,36) |
| 国际化学标识检索码 InChIKey |
AIUAVRQIJPKJTG-UHFFFAOYSA-N |
|