Online Database of Chemicals from Around the World

Microcystin Ym
[CAS# 101043-35-0]

Suppliers
CAS#: 101043-35-0
Product: Microcystin Ym
No suppilers available for the product.
Identification
Name Microcystin Ym
Synonyms 8-[(4-Hydroxyphenyl)Methyl]-18-[(1E,3Z)-6-Methoxy-3,5-Dimethyl-7-Phenyl-Hepta-1,3-Dienyl]-1,5,12,19-Tetramethyl-2-Methylene-15-(2-Methylsulfanylethyl)-3,6,9,13,16,20,25-Heptaoxo-1,4,7,10,14,17,21-Heptazacyclopentacosane-11,22-Dicarboxylic Acid; 8-[(4-Hydroxyphenyl)Methyl]-18-[(1E,3Z)-6-Methoxy-3,5-Dimethyl-7-Phenylhepta-1,3-Dienyl]-1,5,12,19-Tetramethyl-2-Methylene-15-[2-(Methylthio)Ethyl]-3,6,9,13,16,20,25-Heptaoxo-1,4,7,10,14,17,21-Heptazacyclopentacosane-11,22-Dicarboxylic Acid; 8-(4-Hydroxybenzyl)-3,6,9,13,16,20,25-Heptaketo-18-[(1E,3Z)-6-Methoxy-3,5-Dimethyl-7-Phenyl-Hepta-1,3-Dienyl]-1,5,12,19-Tetramethyl-2-Methylene-15-[2-(Methylthio)Ethyl]-1,4,7,10,14,17,21-Heptazacyclopentacosane-11,22-Dicarboxylic Acid
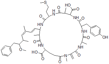
Molecular Structure CAS#: 101043-35-0, Microcystin Ym
Molecular Formula C51H69N7O13S
Molecular Weight 1020.21
CAS Registry Number 101043-35-0
SMILES C3=C(CC1NC(=O)C(NC(=O)C(N(C(=O)CCC(NC(=O)C(C(NC(=O)C(NC(=O)C(C(NC1=O)C(=O)O)C)CCSC)\C=C\C(=C/C(C(OC)CC2=CC=CC=C2)C)C)C)C(=O)O)C)=C)C)C=CC(=C3)O
InChI 1S/C51H69N7O13S/c1-28(25-29(2)41(71-8)27-34-13-11-10-12-14-34)15-20-37-30(3)44(61)55-39(50(67)68)21-22-42(60)58(7)33(6)47(64)52-32(5)46(63)56-40(26-35-16-18-36(59)19-17-35)49(66)57-43(51(69)70)31(4)45(62)54-38(23-24-72-9)48(65)53-37/h10-20,25,29-32,37-41,43,59H,6,21-24,26-27H2,1-5,7-9H3,(H,52,64)(H,53,65)(H,54,62)(H,55,61)(H,56,63)(H,57,66)(H,67,68)(H,69,70)/b20-15+,28-25-
InChIKey CZNWJIGJNMVYOS-ZPBRBDEFSA-N
Properties
Density 1.309g/cm3 (Cal.)
Boiling point 1339.556°C at 760 mmHg (Cal.)
Flash point 763.936°C (Cal.)
Market Analysis Reports
List of Reports Available for Microcystin Ym
Related Products
Microcystin-Lr  1-Nitro-6-Nitrosopyrene  Akiyama's Reagent  Di-(4-Fluorophenyl)Propynyl-N-Cyclohepty...  5-Ethyl-5-Phenyl-2,4-Oxazolidinedione  Pemoline  3-Phenyl-1,3-Thiazolidine-2,4-Dione  1,3,5-Triazine-2,4,6(1H,3H,5H)-Trione Tr...  Histatin 1  sodium 6-keto-3,7-dimethyl-purin-2-olate  (NE)-N-(1-Hydroxyquinolin-4-Ylidene)Hydr...  1,3,5,7-Tetramethyltetrahydro-2,6(1H,3H)...  2-(Bis(2-Ethylhexyl)Amino)Ethanol  1,2,3,4,6,7,8,9-Octahydrodibenzofuran  2,3,6,7-Tetrahydro-1H,5H-benzo(ij)quinol...