基本信息
| 产品分类 |
分析化学 >> 标准品 >> 挥发性有机化合物(VOCs) |
| 产品名称 |
微囊藻毒素YR |
| 英文名 |
Microcystin YR |
| 别名 |
Cyanoginosin La, 3-L-Tyrosine-5-L-Arginine; Microcystin Yr From Microcystis Aeruginosa; Cyanoginosin La, 3-L-Tyrosyl-5-L-Arginine |
|
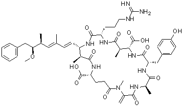
| 分子结构 |
 |
| 分子式 |
C52H72N10O13 |
| 分子量 |
1045.19 |
| CAS 登录号 |
101064-48-6 |
| 分子行输入简码 SMILES |
CO[C@H]([C@H](/C=C(/C=C/[C@@H]1NC(=O)[C@H](CCCNC(=N)N)NC(=O)[C@H](C)[C@@H](NC(=O)[C@H](Cc2ccc(cc2)O)NC(=O)[C@H](NC(=O)C(=C)N(C(=O)CC[C@@H](NC(=O)[C@H]1C)C(=O)O)C)C)C(=O)O)\C)C)Cc1ccccc1 |
| 国际化学标识码 InChI |
1S/C52H72N10O13/c1-28(25-29(2)41(75-8)27-34-13-10-9-11-14-34)16-21-37-30(3)44(65)59-39(50(71)72)22-23-42(64)62(7)33(6)47(68)56-32(5)46(67)60-40(26-35-17-19-36(63)20-18-35)49(70)61-43(51(73)74)31 |
|