Online Database of Chemicals from Around the World

Aspecioside
[CAS# 101915-75-7]

Suppliers
CAS#: 101915-75-7
Product: Aspecioside
No suppilers available for the product.
Identification
Name Aspecioside
Synonyms C08850
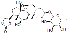
Molecular Structure CAS#: 101915-75-7, Aspecioside
Molecular Formula C29H42O10
Molecular Weight 550.64
CAS Registry Number 101915-75-7
SMILES [C@]123O[C@H]1C[C@@H]7[C@@]([C@H]2C[C@@H](O)[C@]4([C@]3(O)CC[C@@H]4C5=CC(OC5)=O)C)(CC[C@H](O[C@@H]6O[C@@H]([C@@H](O)[C@@H](O)[C@H]6O)C)C7)C
InChI 1S/C29H42O10/c1-13-22(32)23(33)24(34)25(37-13)38-16-4-6-26(2)15(9-16)10-20-29(39-20)18(26)11-19(30)27(3)17(5-7-28(27,29)35)14-8-21(31)36-12-14/h8,13,15-20,22-25,30,32-35H,4-7,9-12H2,1-3H3/t13-,15-,16+,17-,18-,19-,20+,22-,23-,24-,25+,26+,27+,28-,29-/m1/s1
InChIKey BEDAFJYDKDOALK-FHLCUQDTSA-N
Properties
Density 1.448g/cm3 (Cal.)
Boiling point 765.293°C at 760 mmHg (Cal.)
Flash point 251.166°C (Cal.)
Market Analysis Reports
List of Reports Available for Aspecioside
Related Products
N-(4-Hydroxyphenyl)Butanamide  1-(2-Dimethylaminoethyl)Cyclohepta[d]Imi...  Tetracosene  Diboron Trizinc Hexaoxide  7-Bromoeudistomine D  3,4-Dimethyl-3,4-Diphenylhexane  3-(4-Bis(beta-Chloroethyl)Aminophenylazo...  beta-Dimethylamino-1-Naphthaleneethylami...  Sodium 2-naphthalenemethanol sulfate  (4-Propan-2-Yloxynaphthalen-1-Yl)Methyla...  5,5,5-Trifluoro-4-(Trifluoromethyl)-4-Hy...  1-Azabicyclo[2.2.2]Oct-8-Yl (E)-2-Cyclop...  2-(2-(1-Naphthyl)Ethylamino)-2-Oxazoline...  5-Carbafructofuranose 6-Phosphate  7-Allylbicyclo[2.2.1]Hept-5-Ene-2,3-Dica...