Online Database of Chemicals from Around the World

南岛霉素A
[CAS# 102525-63-3]

供应商
CAS#: 102525-63-3
产品: 南岛霉素A
暂时没有厂家供应该产品。
基本信息
产品名称 南岛霉素A
英文名 Notonesomycin A
别名 Nsc608604; Notonesomycin
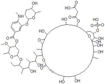
分子结构 CAS 登录号:102525-63-3, 南岛霉素A
分子式 C68H111NO30S
分子量 1454.67
CAS 登录号 102525-63-3
分子行输入简码 SMILES C2=C(OC1OC(C(O)CC1)C)C(=CC=C2C(OC6C(OC)C(OC(OC(C(C(O)C(C(O)C(C5OC(=O)\C=C\CC(O)CC(O)CCCCC(C(O)C(O)C3(OC(CC(O[S](=O)(=O)O)C3O)CC(OC(=O)CC(=O)O)CC(O)CCCC(O)C4OC4C5C)O)C)C)C)C)CC)C6)C)=O)NC
国际化学标识码 InChI 1S/C68H111NO30S/c1-11-49(93-57-31-51(63(89-10)39(8)91-57)95-67(84)40-22-23-46(69-9)50(26-40)94-56-25-24-47(73)38(7)90-56)34(3)59(80)35(4)60(81)36(5)61-37(6)62-64(97-62)48(74)20-14-18-43(72)28-44(92-55(78)32-53(75)76)29-45-30-52(99-100(86,87)88)65(82)68(85,98-45)66(83)58(79)33(2)16-12-13-17-41(70)27-42(71)19-15-21-54(77)96-61/h15,21-23,26,33-39,41-45,47-49,51-52,56-66,69-74,79-83,85H,11-14,16-20,24-25,27-32H2,1-10H3,(H,75,76)(H,86,87,88)/b21-15+
国际化学标识检索码 InChIKey HVHQPPAFOWCAJP-RCCKNPSSSA-N
物理化学性质
密度 1.395g/cm3 (计算值)
市场分析报告
请浏览南岛霉素A市场分析报告总目录
相关产品
4-(甲基氨基磺酰基)苯甲酸酯  4-(丙-2-基氨基磺酰基)苯甲酸酯  4-[二(2-甲基丙基)氨基磺酰基]苯甲酸酯  二-(1,2-二(二苯基膦基)乙烯)铜(I)  6-(1H-吲哚-4-基甲基)-7-甲基-1,4-...  1-乙基-4-(3-甲氧基苯基)-3,6-二氢-2...  5-(苯基氨基)-3H-1,3,4-噻二唑-2-硫...  2-己酰-1,3,6,8-四羟基蒽-9,10-二酮  N,N-二甲基-4-(1-苯基吲哚-3-基)丁烷-...  1-(1-甲基-2-苯基吲哚-3-基)-2-哌啶-...  N,N-二甲基-2-[苯基-(4-苯硫基苯基)甲基...  2-苯基丙二酰胺  1-[(3-氯苯基)甲基]-2H-吲唑-3-酮  N,N'-二(苯基甲基)丙烷二酰胺  N,N'-二环己基丙二酰胺