Online Database of Chemicals from Around the World

L-Lysyl-L-lysyl-L-arginyl-(4R)-4-hydroxy-L-prolyl-L-prolylglycyl-3-(2-thienyl)-L-alanyl-L-seryl-D-phenylalanyl-3-(2-thienyl)-L-alanyl-L-Arginine
[CAS# 103412-37-9]

Identification
Name L-Lysyl-L-lysyl-L-arginyl-(4R)-4-hydroxy-L-prolyl-L-prolylglycyl-3-(2-thienyl)-L-alanyl-L-seryl-D-phenylalanyl-3-(2-thienyl)-L-alanyl-L-Arginine
Synonyms [(2R)-2-[[(2S)-2-[[(2S)-2-Amino-3-(2-Thienyl)Propanoyl]Amino]-3-Hydroxy-Propanoyl]Amino]-3-Phenyl-Propanoyl] (2R,4S)-4-[[(2S)-6-Amino-2-[[(2S)-2,6-Diaminohexanoyl]Amino]Hexanoyl]Amino]-2-[[(2S)-2-Amino-3-(4-Hydroxy-2-Thienyl)Propanoyl]-[2-[[(2S)-1-[(2S)-Pyrrolidine-2-Carbonyl]Pyrrolidine-2-Carbonyl]Amino]Acetyl]Amino]-7-Guanidino-2-(3-Guanidinopropyl)-3-Oxo-Heptanoate; (2R,4S)-4-[[(2S)-6-Amino-2-[[(2S)-2,6-Diamino-1-Oxohexyl]Amino]-1-Oxohexyl]Amino]-2-[[(2S)-2-Amino-3-(4-Hydroxy-2-Thienyl)-1-Oxopropyl]-[1-Oxo-2-[[Oxo-[(2S)-1-[Oxo-[(2S)-2-Pyrrolidinyl]Methyl]-2-Pyrrolidinyl]Methyl]Amino]Ethyl]Amino]-7-Guanidino-2-(3-Guanidinopropyl)-3-Oxoheptanoic Acid [(2R)-2-[[(2S)-2-[[(2S)-2-Amino-1-Oxo-3-(2-Thienyl)Propyl]Amino]-3-Hydroxy-1-Oxopropyl]Amino]-1-Oxo-3-Phenylpropyl] Ester; (2R,4S)-4-[[(2S)-6-Amino-2-[[(2S)-2,6-Diaminohexanoyl]Amino]Hexanoyl]Amino]-2-[[(2S)-2-Amino-3-(4-Hydroxy-2-Thienyl)Propanoyl]-[2-[[(2S)-1-Prolylpyrrolidine-2-Carbonyl]Amino]Acetyl]Amino]-7-Guanidino-2-(3-Guanidinopropyl)-3-Keto-Enanthic Acid [(2R)-2-[[(2S)-2-[[(2S)-2-Amino-3-(2-Thienyl)Propanoyl]Amino]-3-Hydroxy-Propanoyl]Amino]-3-Phenyl-Propanoyl] Ester
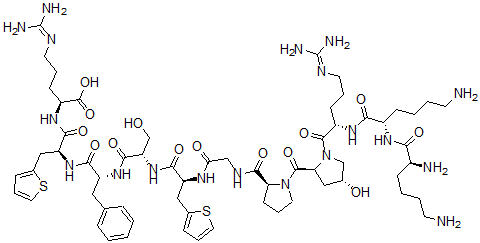
Molecular Structure CAS#: 103412-37-9, L-Lysyl-L-lysyl-L-arginyl-(4R)-4-hydroxy-L-prolyl-L-prolylglycyl-3-(2-thienyl)-L-alanyl-L-seryl-D-phenylalanyl-3-(2-thienyl)-L-alanyl-L-Arginine
Molecular Formula C62H95N19O14S2
Molecular Weight 1394.67
CAS Registry Number 103412-37-9
SMILES [C@@H]1(N(CCC1)C(=O)[C@H]2NCCC2)C(=O)NCC(=O)N([C@](CCCN=C(N)N)(C(=O)[C@@H](NC(=O)[C@@H](NC(=O)[C@@H](N)CCCCN)CCCCN)CCCN=C(N)N)C(OC(=O)[C@H](NC(=O)[C@@H](NC(=O)[C@@H](N)CC3=CC=CS3)CO)CC4=CC=CC=C4)=O)C(=O)[C@@H](N)CC5=CC(=CS5)O
InChI 1S/C62H95N19O14S2/c63-22-6-4-16-40(65)51(86)77-44(17-5-7-23-64)53(88)76-43(18-8-25-73-60(68)69)50(85)62(21-12-26-74-61(70)71,59(94)95-58(93)46(29-36-13-2-1-3-14-36)78-54(89)47(34-82)79-52(87)41(66)31-38-15-11-28-96-38)81(56(91)42(67)32-39-30-37(83)35-97-39)49(84)33-75-55(90)48-20-10-27-80(48)57(92)45-19-9-24-72-45/h1-3,11,13-15,28,30,35,40-48,72,82-83H,4-10,12,16-27,29,31-34,63-67H2,(H,75,90)(H,76,88)(H,77,86)(H,78,89)(H,79,87)(H4,68,69,73)(H4,70,71,74)/t40-,41-,42-,43-,44-,45-,46+,47-,48-,62+/m0/s1
InChIKey HKNHKCVEWPZUNK-SZNSIZNJSA-N
Properties
Density 1.52g/cm3 (Cal.)
Market Analysis Reports
List of Reports Available for L-Lysyl-L-lysyl-L-arginyl-(4R)-4-hydroxy-L-prolyl-L-prolylglycyl-3-(2-thienyl)-L-alanyl-L-seryl-D-phenylalanyl-3-(2-thienyl)-L-alanyl-L-Arginine
Related Products
O3-Ethyl O5-Methyl 2-(Imidazol-1-Ylmethy...  3-Phenylthiophene-2-Carboxylate  Acetyloxy-(Phenylmethyl)Mercury  (8S,9S,13S,14S,17S)-1-Fluoro-13-Methyl-6...  4-[2-(4,5-Dihydro-1H-Imidazol-2-Yl)-1-Ph...  4-(5-Phenyl-2,3,6,7-Tetrahydropyrrolo[1,...  N-[(3S)-1-Methyl-2-Oxo-5-Phenyl-3H-1,4-B...  (E)-Tetracos-17-Enal  1-Isocyanato-4-[2-(4-Isocyanatophenyl)Et...  N-Benzyl-N-[3-(2-Methylpropoxy)-2-(1-Met...  2-Formylcyclopropane-1-Carboxylic Acid  Leucanthanolide  1-Nitro-4-Propylbenzene  1-[(2R,3S,4S,5R)-3,4-Dihydroxy-5-(Hydrox...  1,2,3,5,7,8-Hexachloronaphthalene