Online Database of Chemicals from Around the World

凯勃孢囊菌素A
[CAS# 103528-50-3]

供应商
CAS#: 103528-50-3
产品: 凯勃孢囊菌素A
暂时没有厂家供应该产品。
基本信息
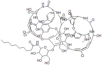
产品名称 凯勃孢囊菌素A
英文名 Kibdelin A
别名 Ristomycin A Aglycone, 5,22,31,55-Tetrachloro-7-Demethyl-64-O-Demethyl-56-O-(2-Deoxy-2-((1-Oxodecyl)Amino)-Beta-D-Glucopyranosyl)-42-O-Alpha-D-Mannopyranosyl-N15-Methyl-
分子结构 CAS 登录号:103528-50-3, 凯勃孢囊菌素A
分子式 C81H84Cl4N8O29
分子量 1775.40
CAS 登录号 103528-50-3
分子行输入简码 SMILES N5C7C(NC1C(NC%10C(NC(C(C9=CC(=C(OC2=CC1=CC(=C2OC3C(C(C(C(O3)NC(=O)CCCCCCCCC)O)O)CO)OC4=CC=C(C=C4Cl)C(C(C5=O)NC(C(C6=CC(=C(C=C6)O)OC8=CC7=C(C(=C8)O)Cl)NC)=O)O)C(=C9)Cl)Cl)O)C(NC(C%12=C(C%11=CC%10=CC=C%11O)C(=CC(=C%12)O)OC%13OC(C(C(C%13O)O)O)CO)C(O)=O)=O)=O)=O)=O
国际化学标识码 InChI 1S/C81H84Cl4N8O29/c1-3-4-5-6-7-8-9-10-53(100)87-78-68(106)65(103)40(28-94)80(122-78)121-71-50-22-33-23-51(71)118-70-42(83)19-34(20-43(70)84)64(102)62-77(113)91-60(79(114)115)38-24-35(96)25-49(119-81-69(107)67(105)66(104)52(29-95)120-81)54(38)37-17-30(11-14-44(37)97)57(73(109)93-62)88-74(110)58(33)89-75(111)59-39-26-36(27-46(99)55(39)85)116-48-21-31(12-15-45(48)98)56(86-2)72(108)92-61(76(112)90-59)63(101)32-13-16-47(117-50)41(82)18-32/h11-27,40,52,56-69,78,80-81,86,94-99,101-107H,3-10,28-29H2,1-2H3,(H,87,100)(H,88,110)(H,89,111)(H,90,112)(H,91,113)(H,92,108)(H,93,109)(H,114,115)
国际化学标识检索码 InChIKey LBADJJYNXUZTCV-UHFFFAOYSA-N
物理化学性质
密度 1.72g/cm3 (计算值)
市场分析报告
请浏览凯勃孢囊菌素A市场分析报告总目录
相关产品
脱氧胆酰酪氨酸  (E)-丁-2-烯酸丙酯  (E)-庚-2-烯酸  1-(beta-巯基-beta,beta-环戊基亚...  6-氟-4-氧代-1-[(1R,2S)-2-苯基环...  [3,4-二羟基-2-[(2E,6E,10E)-3...  1-(2-羟基乙基-(2-羟基丙基)氨基)丙-2-...  二苯并(b,f)环庚烯-1-醇  2-异丙基-5-(3-(2-甲氧基苯氧基)丙基氨基...  2-氯金刚烷-1-羧酸甲酯  2-甲氧基金刚烷-1-羧酸甲酯  凯勃孢囊菌素C1  1-[2-[4-[4-(三氟甲基)苯基]苯氧基]乙...  (E)-4-氧代壬-2-烯醛  N-(10,13-二甲基-1,2,3,4,5,6,...