Online Database of Chemicals from Around the World

辉霉素
[CAS# 105156-68-1]

供应商
CAS#: 105156-68-1
产品: 辉霉素
暂时没有厂家供应该产品。
基本信息
产品名称 辉霉素
英文名 Lustromycin
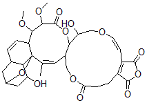
分子结构 CAS 登录号:105156-68-1, 辉霉素
分子式 C32H38O13
分子量 630.64
CAS 登录号 105156-68-1
分子行输入简码 SMILES C\C1=C/C6C(OC(=O)C(OC)C(OC)C4C12OC3CC(C2C(O)C3)C=C4)C(O)CO/C=C/C5=C(C(OC5=O)=O)CCC(OC6)=O
国际化学标识码 InChI 1S/C32H38O13/c1-15-10-17-13-42-24(35)7-5-19-20(30(37)44-29(19)36)8-9-41-14-23(34)26(17)43-31(38)28(40-3)27(39-2)21-6-4-16-11-18-12-22(33)25(16)32(15,21)45-18/h4,6,8-10,16-18,21-23,25-28,33-34H,5,7,11-14H2,1-3H3/b9-8+,15-10+
国际化学标识检索码 InChIKey FDSONACTBUTSIH-RQADFKIXSA-N
市场分析报告
请浏览辉霉素市场分析报告总目录
相关产品
3-[[N-(3-羟基-2,4,6-三碘苯基)-N...  甲脒化铑(II)  [(8R,9S,10R,13S,14S,17S)-...  [(1R,3aS,3bR,9aR,9bS,11aS...  2,4,6,7-四甲基-2-(4,8,12-三甲基...  [(2R)-3-[羟基-[(2R,3R,5S,6R...  1,3-二氨基丙烷二盐酸盐  1-[4-(羟基氨基)苯基]-乙酮  2-氨基-alpha-甲基苄醇  2-(2-氰基苯基)苯乙酮  锝(Z)-4-氧代戊-2-烯-2-醇  N,N,N',N'-四乙基丁-2-烯-1,4-二胺  N,N,N',N'-四乙基丁-2-炔-1,4-二胺  S-[2-[3-[[4-[[[5-(6-氨基嘌呤-...  (3aS,9aS)-8-氟-2,3,3a,9a-四...