Online Database of Chemicals from Around the World

L-Asparaginyl-L-Leucyl-L-alpha-Glutamyl-L-Arginyl-L-alpha-Glutamyl-L-Cysteinyl-L-Leucyl-L-alpha-Glutamyl-L-alpha-Glutamyl-L-Prolyl-L-Cysteinyl-L-Seryl-L-Arginyl-L-alpha-Glutamyl-L-alpha-Glutamyl-L-Alanyl-L-Phenylalanine Cyclic(6-11)-Disulfide
[CAS# 105931-25-7]

Suppliers
CAS#: 105931-25-7
Product: L-Asparaginyl-L-Leucyl-L-alpha-Glutamyl-L-Arginyl-L-alpha-Glutamyl-L-Cysteinyl-L-Leucyl-L-alpha-Glutamyl-L-alpha-Glutamyl-L-Prolyl-L-Cysteinyl-L-Seryl-L-Arginyl-L-alpha-Glutamyl-L-alpha-Glutamyl-L-Alanyl-L-Phenylalanine Cyclic(6-11)-Disulfide
No suppilers available for the product.
Identification
Name L-Asparaginyl-L-Leucyl-L-alpha-Glutamyl-L-Arginyl-L-alpha-Glutamyl-L-Cysteinyl-L-Leucyl-L-alpha-Glutamyl-L-alpha-Glutamyl-L-Prolyl-L-Cysteinyl-L-Seryl-L-Arginyl-L-alpha-Glutamyl-L-alpha-Glutamyl-L-Alanyl-L-Phenylalanine Cyclic(6-11)-Disulfide
Synonyms L-Phenylalanine, L-Asparaginyl-L-Leucyl-L-Alpha-Glutamyl-L-Arginyl-L-Alpha-Glutamyl-L-Cysteinyl-L-Leucyl-L-Alpha-Glutamyl-L-Alpha-Glutamyl-L-Prolyl-L-Cysteinyl-L-Seryl-L-Arginyl-L-Alpha-Glutamyl-L-Alpha-Glutamyl-L-Alanyl-, Cyclic(6-11)-Disulfide; Prothrombin Precursor (13-29)
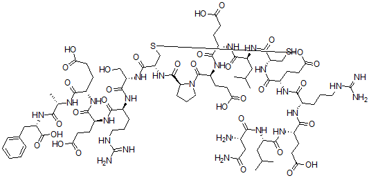
Molecular Structure CAS#: 105931-25-7, L-Asparaginyl-L-Leucyl-L-alpha-Glutamyl-L-Arginyl-L-alpha-Glutamyl-L-Cysteinyl-L-Leucyl-L-alpha-Glutamyl-L-alpha-Glutamyl-L-Prolyl-L-Cysteinyl-L-Seryl-L-Arginyl-L-alpha-Glutamyl-L-alpha-Glutamyl-L-Alanyl-L-Phenylalanine Cyclic(6-11)-Disulfide
Molecular Formula C84H130N24O32S2
Molecular Weight 2052.21
CAS Registry Number 105931-25-7
SMILES [C@H](C(=O)OC([C@@H](NC([C@@H](NC([C@@H](NC([C@@H](NC([C@H]1N(CCC1)C([C@@H](N)CCC(=O)O)=O)=O)CS)=O)C=O)=O)CCCNC(=N)N)=O)CCC(=O)OC([C@@H](NC([C@@H](NC([C@@H](NC([C@@H](N)CCC(=O)O)=O)CS)=O)CC(C)C)=O)CCC(=O)OC([C@@H](NC([C@@H](NC([C@@H](NC([C@@H](N)CC(=O)N)=O)CC(C)C)=O)CCC(=O)O)=O)CCCNC(=N)N)=O)=O)=O)(NC([C@@H](NC([C@@H](N)CCC(=O)O)=O)C)=O)CC2=CC=CC=C2
InChI 1S/C84H130N24O32S2/c1-39(2)32-52(102-69(124)46(88)35-59(89)110)72(127)98-48(20-26-63(117)118)71(126)99-49(15-10-30-95-84(92)93)79(134)138-64(119)27-21-50(101-73(128)53(33-40(3)4)103-75(130)56(37-141)106-68(123)44(86)18-24-61(113)114)80(135)139-65(120)28-22-51(81(136)140-82(137)54(34-42-12-7-6-8-13-42)104-66(121)41(5)96-67(122)43(85)17-23-60(111)112)100-70(125)47(14-9-29-94-83(90)91)97-74(129)55(36-109)105-76(131)57(38-142)107-77(132)58-16-11-31-108(58)78(133)45(87)19-25-62(115)116/h6-8,12-13,36,39-41,43-58,141-142H,9-11,14-35,37-38,85-88H2,1-5H3,(H2,89,110)(H,96,122)(H,97,129)(H,98,127)(H,99,126)(H,100,125)(H,101,128)(H,102,124)(H,103,130)(H,104,121)(H,105,131)(H,106,123)(H,107,132)(H,111,112)(H,113,114)(H,115,116)(H,117,118)(H4,90,91,94)(H4,92,93,95)/t41-,43-,44-,45-,46-,47-,48-,49-,50-,51-,52-,53-,54-,55-,56-,57-,58-/m0/s1
InChIKey PKYMHAADCDTECT-HJPBRXGXSA-N
Market Analysis Reports
List of Reports Available for L-Asparaginyl-L-Leucyl-L-alpha-Glutamyl-L-Arginyl-L-alpha-Glutamyl-L-Cysteinyl-L-Leucyl-L-alpha-Glutamyl-L-alpha-Glutamyl-L-Prolyl-L-Cysteinyl-L-Seryl-L-Arginyl-L-alpha-Glutamyl-L-alpha-Glutamyl-L-Alanyl-L-Phenylalanine Cyclic(6-11)-Disulfide
Related Products
N-[2-(Dimethylamino)Ethyl]-1-Naphthalene...  1-Acetyl-2-Phenyl-5-(Phenylmethyl)-2,3-D...  5-Amino-6-(7-Amino-6-Methoxy-5,8-Dioxoqu...  1-Methyl-7-Propoxy-9H-Pyrido[3,4-b]Indol...  5,6,7,8-Tetrahydro-Pteridine  Homocysteine Thiolactone  6-Pentyl-1,2,3,4,7,8,9,10-Octahydrophena...  3,3'-Thiodipropanol  27-L-Leucine-44alpha-Glycinegrowth Hormo...  N-[2-(Diethylamino)Ethyl]Acrylamide  (9Z,12Z)-N-[2-(3,4-Dihydroxyphenyl)Ethyl...  N-Methyl-4-Nitrosoaniline  N,N'-Bis(1,3-Dimethylbutylidene)-2,2'-Im...  5-[(4-Hydroxy-3-Nitrophenyl)Methyl]-3-Ph...  Didecyl Succinate