Online Database of Chemicals from Around the World

Butanoic acid, (1S,3S,5Z,7R,8E,11R,13E,15S,17R,21R,23R,25S)-1,11,21-trihydroxy-17-[(1R)-1-hydroxyethyl]-5,13-bis(2-methoxy-2-oxoethylidene)-10,10,26,26-tetramethyl-19-oxo-18,27,28,29-tetraoxatetracyclo[21.3.1.13,7.111,15]nonacos-8-en-25-yl ester
[CAS# 107021-11-4]

Suppliers
CAS#: 107021-11-4
Product: Butanoic acid, (1S,3S,5Z,7R,8E,11R,13E,15S,17R,21R,23R,25S)-1,11,21-trihydroxy-17-[(1R)-1-hydroxyethyl]-5,13-bis(2-methoxy-2-oxoethylidene)-10,10,26,26-tetramethyl-19-oxo-18,27,28,29-tetraoxatetracyclo[21.3.1.13,7.111,15]nonacos-8-en-25-yl ester
No suppilers available for the product.
Identification
Name Butanoic acid, (1S,3S,5Z,7R,8E,11R,13E,15S,17R,21R,23R,25S)-1,11,21-trihydroxy-17-[(1R)-1-hydroxyethyl]-5,13-bis(2-methoxy-2-oxoethylidene)-10,10,26,26-tetramethyl-19-oxo-18,27,28,29-tetraoxatetracyclo[21.3.1.13,7.111,15]nonacos-8-en-25-yl ester
Synonyms Aids-001550; Aids001550; Butanoic Acid, (1S,3S,5Z,7R,8E,11R,13E,15S,17R,21R,23R,25S)-1,11,21-Trihydroxy-17-[(1R)-1-Hydroxyethyl]-5,13-Bis(2-Methoxy-2-Oxoethylidene)-10,10,26,26-Tetramethyl-19-Oxo-18,27,28,29-Tetraoxatetracyclo[21.3.1.13,7.111,15]Nonacos-8-En-25-Yl Ester
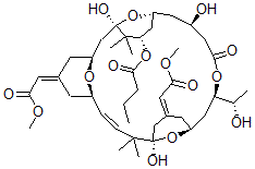
Molecular Structure CAS#: 107021-11-4, Butanoic acid, (1S,3S,5Z,7R,8E,11R,13E,15S,17R,21R,23R,25S)-1,11,21-trihydroxy-17-[(1R)-1-hydroxyethyl]-5,13-bis(2-methoxy-2-oxoethylidene)-10,10,26,26-tetramethyl-19-oxo-18,27,28,29-tetraoxatetracyclo[21.3.1.13,7.111,15]nonacos-8-en-25-yl ester
Molecular Formula C41H62O15
Molecular Weight 794.93
CAS Registry Number 107021-11-4
SMILES [C@@]12(C([C@@H](OC(=O)CCC)C[C@H](O1)C[C@H](CC(O[C@H](C[C@@H]4CC(\C[C@](C(\C=C\[C@@H]3O[C@H](C2)C/C(=C/C(=O)OC)C3)(C)C)(O4)O)=C/C(=O)OC)[C@@H](O)C)=O)O)(C)C)O
InChI 1S/C41H62O15/c1-9-10-34(44)54-33-21-30-18-27(43)19-37(47)53-32(24(2)42)20-29-15-26(17-36(46)51-8)22-40(48,55-29)38(3,4)12-11-28-13-25(16-35(45)50-7)14-31(52-28)23-41(49,56-30)39(33,5)6/h11-12,16-17,24,27-33,42-43,48-49H,9-10,13-15,18-23H2,1-8H3/b12-11+,25-16+,26-17+/t24-,27+,28-,29-,30+,31-,32+,33-,40+,41-/m0/s1
InChIKey UYHQBUSZLQOCRF-OYLGSXELSA-N
Properties
Density 1.274g/cm3 (Cal.)
Boiling point 888.727°C at 760 mmHg (Cal.)
Flash point 259.855°C (Cal.)
Market Analysis Reports
List of Reports Available for Butanoic acid, (1S,3S,5Z,7R,8E,11R,13E,15S,17R,21R,23R,25S)-1,11,21-trihydroxy-17-[(1R)-1-hydroxyethyl]-5,13-bis(2-methoxy-2-oxoethylidene)-10,10,26,26-tetramethyl-19-oxo-18,27,28,29-tetraoxatetracyclo[21.3.1.13,7.111,15]nonacos-8-en-25-yl ester
Related Products
1-(6-Aminopurin-9-Yl)Propan-2-Yloxymethy...  [4-(4-Amino-6,7-Dimethoxyquinazolin-2-Yl...  2-[(4-Chlorophenyl)Methyl]-3,3-Dimethyl-...  (2S,3R)-3-(2-Carboxyethylsulfanyl)-2-Hyd...  2-[4-(4-Fluorobenzoyl)Piperidin-1-Yl]-1-...  3-Methylheptan-1-Ol  5-[3-(2-Carboxy-4-Oxochromen-5-Yl)Oxy-2-...  1-Methyl-5-Phenyl-2,3,4,4a,5,9b-Hexahydr...  5-Phenyl-1-Propyl-2,3,4,4a,5,9b-Hexahydr...  4-(2,3,4,4a,5,9b-Hexahydro-1H-Indeno[3,2...  (4aS,5R,9bS)-1-Methyl-5-Phenyl-2,3,4,4a,...  6,6-Di-O-alpha-Maltosyl beta-Cyclodextri...  4-Amino-1-[(2R,5S)-5-(Hydroxymethyl)Oxol...  4-Amino-5-Fluoro-1-[(2R,5S)-5-(Hydroxyme...  Bis(2-Chloroethyl) Hydrogen Phosphite