基本信息
| 产品名称 |
Lactogangliotetraosylceramide |
| 英文名 |
Lactogangliotetraosylceramide |
| 别名 |
N-[(E)-1-[[5-[4,5-Bis[[3-Acetamido-4,5-Dihydroxy-6-(Hydroxymethyl)Tetrahydropyran-2-Yl]Oxy]-3-Hydroxy-6-(Hydroxymethyl)Tetrahydropyran-2-Yl]Oxy-3,4-Dihydroxy-6-(Hydroxymethyl)Tetrahydropyran-2-Yl]Oxymethyl]-2-Hydroxy-Heptadec-3-Enyl]Tetracosanamide; N-[(E)-1-[[5-[[4,5-Bis[[3-Acetamido-4,5-Dihydroxy-6-(Hydroxymethyl)-2-Tetrahydropyranyl]Oxy]-3-Hydroxy-6-(Hydroxymethyl)-2-Tetrahydropyranyl]Oxy]-3,4-Dihydroxy-6-(Hydroxymethyl)-2-Tetrahydropyranyl]Oxymethyl]-2-Hydroxyheptadec-3-Enyl]Tetracosanamide; N-[(E)-1-[[5-[4,5-Bis[(3-Acetamido-4,5-Dihydroxy-6-Methylol-Tetrahydropyran-2-Yl)Oxy]-3-Hydroxy-6-Methylol-Tetrahydropyran-2-Yl]Oxy-3,4-Dihydroxy-6-Methylol-Tetrahydropyran-2-Yl]Oxymethyl]-2-Hydroxy-Heptadec-3-Enyl]Lignoceramide |
|
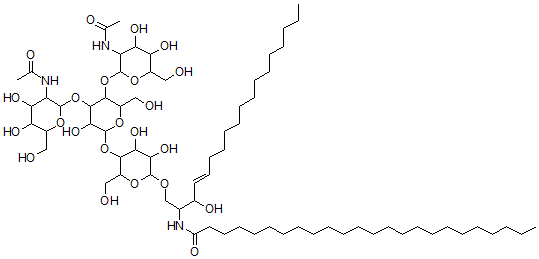
| 分子结构 |
 |
| 分子式 |
C70H129N3O23 |
| 分子量 |
1380.80 |
| CAS 登录号 |
107221-01-2 |
| 分子行输入简码 SMILES |
C(O)C3OC(OC1C(O)C(O)C(OC1CO)OCC(NC(=O)CCCCCCCCCCCCCCCCCCCCCCC)C(O)\C=C\CCCCCCCCCCCCC)C(O)C(OC2OC(C(O)C(O)C2NC(=O)C)CO)C3OC4OC(C(O)C(O)C4NC(=O)C)CO |
| 国际化学标识码 InChI |
1S/C70H129N3O23/c1-5-7-9-11-13-15-17-19-20-21-22-23-24-25-26-28-30-32-34-36-38-40-54(81)73-48(49(80)39-37-35-33-31-29-27-18-16-14-12-10-8-6-2)45-89-69-62(87)61(86)64(52(43-76)92-69)94-70-63(88)66(96-68-56(72-47(4)79)60(85)58(83)51(42-75)91-68)65(53(44-77)93-70)95-67-55(71-46(3)78)59(84)57(82)50(41-74)90-67/h37,39,48-53,55-70,74-77,80,82-88H,5-36,38,40-45H2,1-4H3,(H,71,78)(H,72,79)(H,73,81)/b39-37+ |
| 国际化学标识检索码 InChIKey |
YAVBLHXWKRSXJS-NHFVQZBWSA-N |
|