Identification
| Name |
1-Deamino-7-Lys-8-Arg-Vasotocin |
| Synonyms |
(4R,7S,10S,16S)-N-[(1S)-5-Amino-1-[[(1S)-1-[(2-Amino-2-Oxo-Ethyl)Carbamoyl]-4-Guanidino-Butyl]Carbamoyl]Pentyl]-7-(2-Amino-2-Oxo-Ethyl)-10-(3-Amino-3-Oxo-Propyl)-16-[(4-Hydroxyphenyl)Methyl]-6,9,12,15,18-Pentaoxo-13-Sec-Butyl-1,2-Dithia-5,8,11,14,17-Pentazacycloicosane-4-Carboxamide; (4R,7S,10S,16S)-N-[(1S)-5-Amino-1-[[[(1S)-1-[[(2-Amino-2-Oxoethyl)Amino]-Oxomethyl]-4-Guanidinobutyl]Amino]-Oxomethyl]Pentyl]-7-(2-Amino-2-Oxoethyl)-10-(3-Amino-3-Oxopropyl)-16-[(4-Hydroxyphenyl)Methyl]-6,9,12,15,18-Pentaoxo-13-Sec-Butyl-1,2-Dithia-5,8,11,14,17-Pentazacycloicosane-4-Carboxamide; (4R,7S,10S,16S)-N-[(1S)-5-Amino-1-[[(1S)-1-[(2-Amino-2-Keto-Ethyl)Carbamoyl]-4-Guanidino-Butyl]Carbamoyl]Pentyl]-7-(2-Amino-2-Keto-Ethyl)-10-(3-Amino-3-Keto-Propyl)-16-(4-Hydroxybenzyl)-6,9,12,15,18-Pentaketo-13-Sec-Butyl-1,2-Dithia-5,8,11,14,17-Pentazacycloicosane-4-Carboxamide |
|
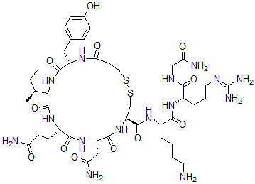
| Molecular Structure |
 |
| Molecular Formula |
C44H71N15O12S2 |
| Molecular Weight |
1066.26 |
| CAS Registry Number |
109064-92-8 |
| SMILES |
[C@@H](C1NC(=O)[C@@H](NC(=O)CCSSC[C@H](NC(=O)[C@@H](NC(=O)[C@@H](NC1=O)CCC(=O)N)CC(=O)N)C(=O)N[C@@H](CCCCN)C(=O)N[C@@H](CCCN=C(N)N)C(=O)NCC(=O)N)CC2=CC=C(O)C=C2)(CC)C |
| InChI |
1S/C44H71N15O12S2/c1-3-23(2)36-43(71)56-28(13-14-32(46)61)39(67)57-30(20-33(47)62)40(68)58-31(22-73-72-18-15-35(64)53-29(41(69)59-36)19-24-9-11-25(60)12-10-24)42(70)55-27(7-4-5-16-45)38(66)54-26(8-6-17-51-44(49)50)37(65)52-21-34(48)63/h9-12,23,26-31,36,60H,3-8,13-22,45H2,1-2H3,(H2,46,61)(H2,47,62)(H2,48,63)(H,52,65)(H,53,64)(H,54,66)(H,55,70)(H,56,71)(H,57,67)(H,58,68)(H,59,69)(H4,49,50,51)/t23-,26-,27-,28-,29-,30-,31-,36?/m0/s1 |
| InChIKey |
VZZOSXOAMYZTAW-PTIHLYNMSA-N |
|