Online Database of Chemicals from Around the World

2-[[(2S)-2-(棕榈酰氨基)-6-[(4-硝基-2,1,3-苯并恶二唑-7-基)氨基]己酰]氨基]乙基2-三甲基铵乙基磷酸酯盐
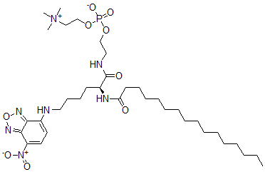
[CAS# 109897-91-8]

供应商
CAS#: 109897-91-8
产品: 2-[[(2S)-2-(棕榈酰氨基)-6-[(4-硝基-2,1,3-苯并恶二唑-7-基)氨基]己酰]氨基]乙基2-三甲基铵乙基磷酸酯盐
暂时没有厂家供应该产品。
基本信息
产品名称 2-[[(2S)-2-(棕榈酰氨基)-6-[(4-硝基-2,1,3-苯并恶二唑-7-基)氨基]己酰]氨基]乙基2-三甲基铵乙基磷酸酯盐
英文名 2-[[(2S)-2-(Hexadecanoylamino)-6-[(4-Nitro-2,1,3-Benzoxadiazol-7-Yl)Amino]Hexanoyl]Amino]Ethyl 2-Trimethylazaniumylethyl Phosphate
别名 2-[[(2S)-2-(Hexadecanoylamino)-6-[(4-Nitro-2,1,3-Benzoxadiazol-7-Yl)Amino]Hexanoyl]Amino]Ethyl 2-Trimethylammonioethyl Phosphate; 2-[[(2S)-6-[(4-Nitro-2,1,3-Benzoxadiazol-7-Yl)Amino]-1-Oxo-2-(1-Oxohexadecylamino)Hexyl]Amino]Ethyl 2-Trimethylammonioethyl Phosphate; 2-[[(2S)-6-[(7-Nitrobenzofurazan-4-Yl)Amino]-2-Palmitamido-Hexanoyl]Amino]Ethyl 2-Trimethylammonioethyl Phosphate
分子结构 CAS 登录号:109897-91-8, 2-[[(2S)-2-(棕榈酰氨基)-6-[(4-硝基-2,1,3-苯并恶二唑-7-基)氨基]己酰]氨基]乙基2-三甲基铵乙基磷酸酯盐
分子式 C35H62N7O9P
分子量 755.89
CAS 登录号 109897-91-8
分子行输入简码 SMILES [C@H](NC(=O)CCCCCCCCCCCCCCC)(CCCCNC1=CC=C([N+]([O-])=O)C2=NON=C12)C(=O)NCCO[P](OCC[N+](C)(C)C)([O-])=O
国际化学标识码 InChI 1S/C35H62N7O9P/c1-5-6-7-8-9-10-11-12-13-14-15-16-17-21-32(43)38-30(35(44)37-25-27-49-52(47,48)50-28-26-42(2,3)4)20-18-19-24-36-29-22-23-31(41(45)46)34-33(29)39-51-40-34/h22-23,30H,5-21,24-28H2,1-4H3,(H3-,36,37,38,40,43,44,47,48)/t30-/m0/s1
国际化学标识检索码 InChIKey PGROHZHFGAHXNO-PMERELPUSA-N
市场分析报告
请浏览2-[[(2S)-2-(棕榈酰氨基)-6-[(4-硝基-2,1,3-苯并恶二唑-7-基)氨基]己酰]氨基]乙基2-三甲基铵乙基磷酸酯盐市场分析报告总目录
相关产品
(4E)-2-[2-[(4-二甲基氨基苯基)氨基]...  (4E)-N-[C-(4-二甲基氨基苯基)-N-[...  (3R,4S,5S)-3-羟基-5-[(R)-羟基...  1,5,9,13-四硫杂环十六烷-3,11-二醇  (4E)-4-(1H-吲哚-3-基亚甲基)-2-[...  (2R,3S,4S,5R,6R)-6-[(2R,3...  1-(1,1-二甲基乙基氨基)-3-(2-(3-(...  1-(2-(3-(1H-吲哚-4-基)丙基)苯氧基...  5-(丹磺酰甘氨酰-6-氨基己酰氨基丙-1-烯基)...  1-苯基-3-(哌啶-1-基甲基)吲哚  (1-苯基-2-吡咯烷-1-基乙基)4-氯苯甲酸酯...  (1-苯基-2-吡咯烷-1-基乙基)2-氯苯甲酸酯...  (5R,6R,7S,8R,8aS)-6,7,8-三...  互变霉素  1-(2-(2-羟基-3-(丙基氨基)丙氧基)苯基...