Online Database of Chemicals from Around the World

红迪菌素
[CAS# 11031-38-2]

供应商
CAS#: 11031-38-2
产品: 红迪菌素
暂时没有厂家供应该产品。
基本信息
产品名称 红迪菌素
英文名 Rubradirin
别名 Nsc99282; Rubradirin
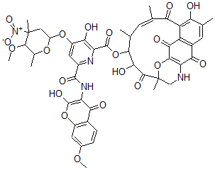
分子结构 CAS 登录号:11031-38-2, 红迪菌素
分子式 C48H46N4O20
分子量 998.91
CAS 登录号 11031-38-2
分子行输入简码 SMILES C2=C(OC1OC(C(OC)C([N+]([O-])=O)(C1)C)C)C(=C(N=C2C(=O)NC3=C(OC4=C(C3=O)C=CC(=C4)OC)O)C(OC8C(O)C(=O)C5(OC6=C(NC5)C(=O)C7=C(C6=O)C(=C(O)C(=C7)C)C(=O)C(=C/C8C)\C)C)=O)O
国际化学标识码 InChI 1S/C48H46N4O20/c1-17-11-19(3)40(39(59)42(60)48(6)16-49-30-36(56)23-12-18(2)34(54)29(33(17)53)28(23)38(58)41(30)72-48)71-46(63)32-37(57)26(69-27-15-47(5,52(64)65)43(67-8)20(4)68-27)14-24(50-32)44(61)51-31-35(55)22-10-9-21(66-7)13-25(22)70-45(31)62/h9-14,19-20,27,39-40,43,49,54,57,59,62H,15-16H2,1-8H3,(H,51,61)/b17-11-
国际化学标识检索码 InChIKey HZJYMSYXRSCXPH-BOPFTXTBSA-N
物理化学性质
密度 1.611g/cm3 (计算值)
沸点 1233.436°C at 760 mmHg (计算值)
闪点 699.757°C (计算值)
市场分析报告
请浏览红迪菌素市场分析报告总目录
相关产品
阿多来新  肉瘤霉素  桑福洛霉素B  曲张链菌素B  N,N'-二(3-氨基丙基)丁-2-炔-1,4-二...  [(3S,5S,10S,13S,17S)-17-乙...  (5alpha)-17-(环丙基甲基)-4,5-环...  (5alpha)-17-(环丙基甲基)-4,5-环...  泰乐菌素盐酸盐  (7R,8R,9S,10R,13S,14S)-7-...  [2,3-二甲基-6-(3,6,9-三羟基-10,...  甘氨酰-天冬氨酰-脯氨酰-苯丙氨酰-亮氨酰-精氨酰...  丝氨酰-天冬氨酰-脯氨酰-苯丙氨酰-亮氨酰-精氨酰...  [(2R,3S,5R)-2-[(4-氯苯甲酰基)氧...  (4S,5R,6R)-6-[(2R,3R,4R,5...