Identification
| Name |
12-Molybdosilicic acid hydrate |
| Synonyms |
12-MOLYBDOSILICICACIDHYDRATE; Silicomolybdic acid hydrate; 383368_ALDRICH |
|
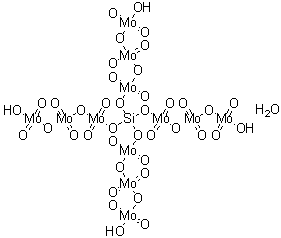
| Molecular Structure |
 |
| Molecular Formula |
H6Mo12O41Si |
| Molecular Weight |
1841.39 |
| CAS Registry Number |
11089-20-6 |
| SMILES |
O.O=[Mo](=O)(O[Si](O[Mo](=O)(=O)O[Mo](=O)(=O)O[Mo](O)(=O)=O)(O[Mo](=O)(=O)O[Mo](=O)(=O)O[Mo](O)(=O)=O)O[Mo](=O)(=O)O[Mo](=O)(=O)O[Mo](O)(=O)=O)O[Mo](=O)(=O)O[Mo](O)(=O)=O |
| InChI |
1S/12Mo.O4Si.5H2O.32O/c;;;;;;;;;;;;1-5(2,3)4;;;;;;;;;;;;;;;;;;;;;;;;;;;;;;;;;;;;;/h;;;;;;;;;;;;;5*1H2;;;;;;;;;;;;;;;;;;;;;;;;;;;;;;;;/q;;;;8*+1;-4;;;;;;;;;;;;;;;;;;;;;;;;;;;;;;;;;;;;;/p-4 |
| InChIKey |
IDTGEYOTLWPSGZ-UHFFFAOYSA-J |
|