Online Database of Chemicals from Around the World

2,8,14,20-四十一烷基五环[19.3.1.13,7.19,13.115,19]二十八碳-1(25),3(28),4,6,9(27),10,12,15(26),16,18,21,23-十二烯-4,6,10,12,16,18,22,24-八醇
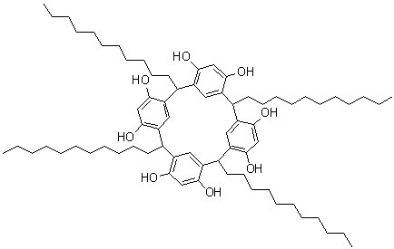
[CAS# 112247-07-1]

供应商
Alfa Chemistry 美国 询价快递  
+1 (201) 478-8534
inquiry@alfa-chemistry.com
化学品供销商(2012 年起)
chemBlink 标准供应商(2012 年起)
CMS Chemicals Ltd. 英国 询价快递  
+44 (1635) 577-666
sales@cms-chemicals.com
化学品生产商
International Laboratory Limited 美国 询价快递  
+1 (650) 278-9963
admin@intlab.org
化学品生产商(2002 年起)
基本信息
产品名称 2,8,14,20-四十一烷基五环[19.3.1.13,7.19,13.115,19]二十八碳-1(25),3(28),4,6,9(27),10,12,15(26),16,18,21,23-十二烯-4,6,10,12,16,18,22,24-八醇
英文名 2,8,14,20-Tetraundecylpentacyclo[19.3.1.13,7.19,13.115,19]Octacosa-1(25),3(28),4,6,9(27),10,12,15(26),16,18,21,23-Dodecaene-4,6,10,12,16,18,22,24-Octol
分子结构 CAS 登录号:112247-07-1, 2,8,14,20-四十一烷基五环[19.3.1.1<sup>3,7</sup>.1<sup>9,13</sup>.1<sup>15,19</sup>]二十八碳-1(25),3(28),4,6,9(27),10,12,15(26),16,18,21,23-十二烯-4,6,10,12,16,18,22,24-八醇
分子式 C72H112O8
分子量 1105.65
CAS 登录号 112247-07-1
分子行输入简码 SMILES CCCCCCCCCCCC1c2cc(c(cc2O)O)C(c3cc(c(cc3O)O)C(c4cc(c(cc4O)O)C(c5cc1c(cc5O)O)CCCCCCCCCCC)CCCCCCCCCCC)CCCCCCCCCCC
国际化学标识码 InChI 1S/C72H112O8/c1-5-9-13-17-21-25-29-33-37-41-53-57-45-59(67(75)49-65(57)73)54(42-38-34-30-26-22-18-14-10-6-2)61-47-63(71(79)51-69(61)77)56(44-40-36-32-28-24-20-16-12-8-4)64-48-62(70(78)52-72(64)80)55(60-46-58(53)66(74)50-68(60)76)43-39-35-31-27-23-19-15-11-7-3/h45-56,73-80H,5-44H2,1-4H3
国际化学标识检索码 InChIKey NLPGYPIHQCVVRO-UHFFFAOYSA-N
物理化学性质
密度 1.039g/cm3 (计算值)
沸点 1082.7°C at 760 mmHg (计算值)
闪点 326.977°C (计算值)
折射率 1.544 (计算值)
安全数据
SDS 化学品安全技术说明书参考文本
参考文献
(1) Stirling Charles J. M.. Trimorphism in solid resorcinarenes, Chemical Communications, 2007
市场分析报告
请浏览2,8,14,20-四十一烷基五环[19.3.1.13,7.19,13.115,19]二十八碳-1(25),3(28),4,6,9(27),10,12,15(26),16,18,21,23-十二烯-4,6,10,12,16,18,22,24-八醇市场分析报告总目录
相关产品
5-(2-氧代六氢-1H-噻吩并[3,4-d]咪唑...  (Z)-1-({2-[({5-[(二甲基氨基)甲基...  N'-(3-甲基苯基)丙酰肼  (2R,5S)-2-异丙基-1-氮杂双环[3.2....  2-溴-1-(4-甲基-1-哌嗪基)乙酮  2-(氨基氧基)-1-(4-甲基-1-哌嗪基)乙酮  4-[(氨基氧基)乙酰基]-2-哌嗪酮  2-氟-1-(1-萘基)乙酮  3-(三甲基硅烷基)异烟酸  咪唑并[1,2-a]吡啶-5-硫醇  咪唑并[1,2-a]吡嗪-5-硫醇  2,2,6-三甲基-2,3,4,5-四氢吡啶  5-乙氧基-5H-苯并[7]环轮烯  2-[5-(苄氧基)-1H-吲哚-3-基]乙酰肼  (氨基甲酰氨基)(2-硝基苯基)乙酸