Online Database of Chemicals from Around the World

哈木菌素B
[CAS# 112959-01-0]

供应商
CAS#: 112959-01-0
产品: 哈木菌素B
暂时没有厂家供应该产品。
基本信息
产品名称 哈木菌素B
英文名 Trichorzianine B
别名 (S)-2-De-L-Proline-3-L-Alanine-6-(2-Methylalanine)-9-(2-Methylalanine)-11-L-Serine-17-L-Isoleucine-18-L-Glutamine-19-(N-(2-Hydroxy-1-(1H-Indol-3-Ylmethyl)Ethyl)-L-Alpha-Glutamine)Alamethian I; Alamethian I, 2-De-L-Proline-3-L-Alanine-6-(2-Methylalanine)-9-(2-Methylalanine)-11-L-Serine-17-L-Isoleucine-18-L-Glutamine-19-(N-(2-Hydroxy-1-(1H-Indol-3-Ylmethyl)Ethyl)-L-Alpha-Glutamine)-, (S)-
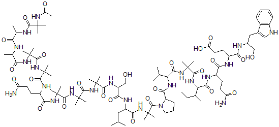
分子结构 CAS 登录号:112959-01-0, 哈木菌素B
分子式 C91H148N22O25
分子量 1950.30
CAS 登录号 112959-01-0
分子行输入简码 SMILES C1=CC=CC2=C1[NH]C=C2CC(NC(=O)C(NC(=O)C(CCC(N)=O)NC(C(NC(C(NC(C(NC(C3CCCN3C(=O)C(C)(C)NC(C(NC(=O)C(CO)NC(C(NC(C(NC(C(NC(=O)C(CCC(=O)N)NC(C(NC(=O)C(C)(C)NC(C(C)NC(C(C)NC(C(NC(C)=O)(C)C)=O)=O)=O)(C)C)=O)(C)C)=O)(C)C)=O)(C)C)=O)CC(C)C)=O)=O)C(C)C)=O)(C)C)=O)C(CC)C)=O)CCC(O)=O)CO
国际化学标识码 InChI 1S/C91H148N22O25/c1-26-47(6)65(74(129)99-55(33-36-61(92)117)69(124)98-56(35-38-63(119)120)68(123)97-52(43-114)41-51-42-94-54-31-28-27-30-53(51)54)104-79(134)85(12,13)109-75(130)64(46(4)5)103-73(128)60-32-29-39-113(60)83(138)91(24,25)108-72(127)58(40-45(2)3)100-70(125)59(44-115)102-78(133)87(16,17)111-82(137)90(22,23)112-81(136)89(20,21)107-71(126)57(34-37-62(93)118)101-77(132)86(14,15)110-80(135)88(18,19)106-67(122)49(8)95-66(121)48(7)96-76(131)84(10,11)105-50(9)116/h27-28,30-31,42,45-49,52,55-60,64-65,94,114-115H,26,29,32-41,43-44H2,1-25H3,(H2,92,117)(H2,93,118)(H,95,121)(H,96,131)(H,97,123)(H,98,124)(H,99,129)(H,100,125)(H,101,132)(H,102,133)(H,103,128)(H,104,134)(H,105,116)(H,106,122)(H,107,126)(H,108,127)(H,109,130)(H,110,135)(H,111,137)(H,112,136)(H,119,120)
国际化学标识检索码 InChIKey MTJOXVIDHVPJAI-UHFFFAOYSA-N
市场分析报告
请浏览哈木菌素B市场分析报告总目录
相关产品
丁烷-2-酮苯基腙  维吖啶马来酸盐  1-苯基-1-己炔  (Z)-7-[(1R,4S,5S,6S)-5-(苯...  环己基丙基甲酸酯  高齐美利定  1,1-二环己基-2-哌啶-1-基乙醇  1-(3-溴丙氧基)-4-氟苯  1-[2-[2-[2-(2-丁氧基乙氧基)乙氧基]...  [2-乙氧基-3-(棕榈酰氨基)丙基]2-三甲基铵...  [2-乙氧基-3-(十八碳酰氨基)丙基]2-三甲基...  顺式-环十二碳烯  环十二碳炔  8-羟基喹啉鎓硫酸氢盐  去甲麻黄碱硫酸盐