基本信息
| 产品名称 |
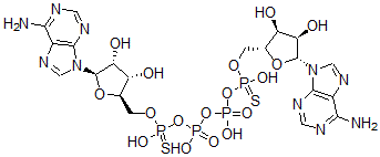
P(1),P(4)-二(5'-腺苷)-1,4-二硫代四联磷酸酯 |
| 英文名 |
P(1),P(4)-Bis(5'-Adenosyl)-1,4-Dithiotetraphosphate |
| 别名 |
[[(2R,3S,4R,5R)-5-(6-Aminopurin-9-Yl)-3,4-Dihydroxy-Tetrahydrofuran-2-Yl]Methoxy-Hydroxy-Phosphinothioyl] [[[(2R,3S,4R,5R)-5-(6-Aminopurin-9-Yl)-3,4-Dihydroxy-Tetrahydrofuran-2-Yl]Methoxy-Hydroxy-Phosphinothioyl]Oxy-Hydroxy-Phosphoryl] Hydrogen Phosphate; [[(2R,3S,4R,5R)-5-(6-Amino-9-Purinyl)-3,4-Dihydroxy-2-Tetrahydrofuranyl]Methoxy-Hydroxyphosphinothioyl] [[[(2R,3S,4R,5R)-5-(6-Amino-9-Purinyl)-3,4-Dihydroxy-2-Tetrahydrofuranyl]Methoxy-Hydroxyphosphinothioyl]Oxy-Hydroxyphosphoryl] Hydrogen Phosphate; [[(2R,3S,4R,5R)-5-(6-Aminopurin-9-Yl)-3,4-Dihydroxy-Tetrahydrofuran-2-Yl]Methoxy-Hydroxy-Thiophosphoryl] [[[(2R,3S,4R,5R)-5-(6-Aminopurin-9-Yl)-3,4-Dihydroxy-Tetrahydrofuran-2-Yl]Methoxy-Hydroxy-Thiophosphoryl]Oxy-Hydroxy-Phosphoryl] Hydrogen Phosphate |
|
| 分子结构 |
 |
| 分子式 |
C20H28N10O17P4S2 |
| 分子量 |
868.51 |
| CAS 登录号 |
113270-27-2 |
| 分子行输入简码 SMILES |
[C@H]1(O[C@@H]([C@@H](O)[C@H]1O)CO[P](=S)(O[P](O[P](O[P](=S)(OC[C@H]4O[C@@H]([N]2C3=C(N=C2)C(=NC=N3)N)[C@H](O)[C@@H]4O)O)(=O)O)(=O)O)O)[N]5C6=C(N=C5)C(=NC=N6)N |
| 国际化学标识码 InChI |
1S/C20H28N10O17P4S2/c21-15-9-17(25-3-23-15)29(5-27-9)19-13(33)11(31)7(43-19)1-41-50(39,52)46-48(35,36)45-49(37,38)47-51(40,53)42-2-8-12(32)14(34)20(44-8)30-6-28-10-16(22)24-4-26-18(10)30/h3-8,11-14,19-20,31-34H,1-2H2,(H,35,36)(H,37,38)(H,39,52)(H,40,53)(H2,21,23,25)(H2,22,24,26)/t7-,8-,11-,12-,13-,14-,19-,20-,50?,51?/m1/s1 |
| 国际化学标识检索码 InChIKey |
JIZRAGCAYQMDIX-BTSZXFKFSA-N |
|