Online Database of Chemicals from Around the World

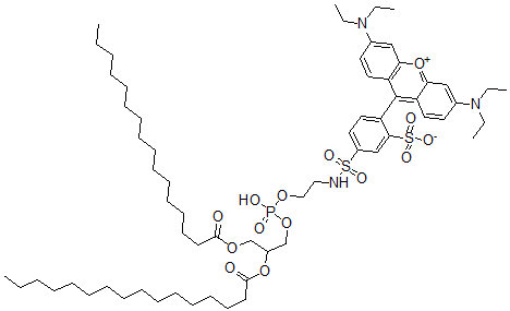
5-[2-[2,3-二(1-氧代十六烷氧基)丙氧基-羟基磷酰]氧基乙基氨基磺酰基]-2-(3-二乙基氨基-6-二乙基铵亚基-9-氧杂蒽基)苯磺酸盐
[CAS# 115044-45-6]

供应商
CAS#: 115044-45-6
产品: 5-[2-[2,3-二(1-氧代十六烷氧基)丙氧基-羟基磷酰]氧基乙基氨基磺酰基]-2-(3-二乙基氨基-6-二乙基铵亚基-9-氧杂蒽基)苯磺酸盐
暂时没有厂家供应该产品。
基本信息
产品名称 5-[2-[2,3-二(1-氧代十六烷氧基)丙氧基-羟基磷酰]氧基乙基氨基磺酰基]-2-(3-二乙基氨基-6-二乙基铵亚基-9-氧杂蒽基)苯磺酸盐
英文名 5-[2-[2,3-Bis(1-oxohexadecoxy)propoxy-hydroxyphosphoryl]oxyethylsulfamoyl]-2-(3-diethylamino-6-diethylazaniumylidene-9-xanthenyl)benzenesulfonate
别名 2-(3-Diethylamino-6-Diethylazaniumylidene-Xanthen-9-Yl)-5-[2-[2,3-Di(Hexadecanoyloxy)Propoxy-Hydroxy-Phosphoryl]Oxyethylsulfamoyl]Benzenesulfonate; 5-[2-[2,3-Bis(1-Oxohexadecoxy)Propoxy-Hydroxyphosphoryl]Oxyethylsulfamoyl]-2-(3-Diethylamino-6-Diethylazaniumylidene-9-Xanthenyl)Benzenesulfonate; N-(Lissamine-Rhodamine B Sulfonyl)-1,2-Dipalmitoyl-Sn-Glycero-3-Phosphoethanolamine
分子结构 CAS 登录号:115044-45-6, 5-[2-[2,3-二(1-氧代十六烷氧基)丙氧基-羟基磷酰]氧基乙基氨基磺酰基]-2-(3-二乙基氨基-6-二乙基铵亚基-9-氧杂蒽基)苯磺酸盐
分子式 C64H102N3O14PS2
分子量 1232.62
CAS 登录号 115044-45-6
分子行输入简码 SMILES [O+]2=C4C(=C(C1=CC=C([S](=O)(=O)NCCO[P](OCC(OC(=O)CCCCCCCCCCCCCCC)COC(=O)CCCCCCCCCCCCCCC)(=O)O)C=C1[S]([O-])(=O)=O)C3=C2C=C(N(CC)CC)C=C3)C=CC(=C4)N(CC)CC
国际化学标识码 InChI 1S/C64H102N3O14PS2/c1-7-13-15-17-19-21-23-25-27-29-31-33-35-37-62(68)77-50-54(80-63(69)38-36-34-32-30-28-26-24-22-20-18-16-14-8-2)51-79-82(70,71)78-46-45-65-83(72,73)55-41-44-58(61(49-55)84(74,75)76)64-56-42-39-52(66(9-3)10-4)47-59(56)81-60-48-53(40-43-57(60)64)67(11-5)12-6/h39-44,47-49,54,65H,7-38,45-46,50-51H2,1-6H3,(H-,70,71,74,75,76)
国际化学标识检索码 InChIKey NHMNXIHGKOHXQR-UHFFFAOYSA-N
市场分析报告
请浏览5-[2-[2,3-二(1-氧代十六烷氧基)丙氧基-羟基磷酰]氧基乙基氨基磺酰基]-2-(3-二乙基氨基-6-二乙基铵亚基-9-氧杂蒽基)苯磺酸盐市场分析报告总目录
相关产品
2-氯-3'-脱氧腺苷  2-溴-3'-脱氧腺苷  2-碘-3'-脱氧腺苷  2-(2,2,3,3-四氟丙氧基)-1,3,2-二...  苏氨酰-天冬氨酰-酪氨酸  2,4,6-三甲基吡啶-3,5-二羧酸二乙基酯  雌甾炔胺  苯基-(2-二氟乙基)-4-氨基丙基脒基腙  乙炔基酪胺  N-(2,6-二甲基苯基)-2,3-吡啶二甲酰亚胺  2,4-二氯-1,3-二环己基-1,3,2-二氮杂...  4-O-(1-羧基乙基)-O-半乳糖  布洛芬酰基-beta-D-葡糖苷酸  (2,4-二硝基苯基)氨基己酰血管紧张素II  生物素基-epsilon-氨基己酰-丙氨酰-精氨酰...