Online Database of Chemicals from Around the World

[2-(9-羟基-9-氧代-壬酰)氧基-3-十八烷氧基-丙基]2-三甲基铵乙基磷酸酯盐
[CAS# 117320-06-6]

供应商
Achemica 瑞士 询价快递  
+41 (24) 466-2929
contact@achemica.com
化学品生产商(2010 年起)
基本信息
产品名称 [2-(9-羟基-9-氧代-壬酰)氧基-3-十八烷氧基-丙基]2-三甲基铵乙基磷酸酯盐
英文名 [2-(9-Hydroxy-9-oxo-nonanoyl)oxy-3-octadecoxy-propyl] 2-trimethylazaniumylethyl phosphate
别名 [2-(9-Hydroxy-9-Oxo-Nonanoyl)Oxy-3-Octadecoxy-Propyl] 2-Trimethylammonioethyl Phosphate; [2-(9-Hydroxy-1,9-Dioxononoxy)-3-Octadecoxypropyl] 2-Trimethylammonioethyl Phosphate; [2-(9-Hydroxy-9-Keto-Nonanoyl)Oxy-3-Stearyloxy-Propyl] 2-Trimethylammonioethyl Phosphate
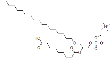
分子结构 CAS 登录号:117320-06-6, [2-(9-羟基-9-氧代-壬酰)氧基-3-十八烷氧基-丙基]2-三甲基铵乙基磷酸酯盐
分子式 C35H70NO9P
分子量 679.91
CAS 登录号 117320-06-6
分子行输入简码 SMILES C(O[P](OCC[N+](C)(C)C)([O-])=O)C(OC(=O)CCCCCCCC(=O)O)COCCCCCCCCCCCCCCCCCC
国际化学标识码 InChI 1S/C35H70NO9P/c1-5-6-7-8-9-10-11-12-13-14-15-16-17-18-22-25-29-42-31-33(32-44-46(40,41)43-30-28-36(2,3)4)45-35(39)27-24-21-19-20-23-26-34(37)38/h33H,5-32H2,1-4H3,(H-,37,38,40,41)
国际化学标识检索码 InChIKey SPJGRQXWAJFBBQ-UHFFFAOYSA-N
市场分析报告
请浏览[2-(9-羟基-9-氧代-壬酰)氧基-3-十八烷氧基-丙基]2-三甲基铵乙基磷酸酯盐市场分析报告总目录
相关产品
4-[(3S,5S,7S,10S,13R,14S,...  1-N-(3-氨基-2-羟基丁酰基)-2',3'-...  [2-[(8S,9S,10R,13S,14S,17...  (8Z)-8-[[2-甲基-4-[3-甲基-4-[...  14B-(P-氯肉桂酰氨基)-7,8-二氢-N-环...  N-乙酰基多巴胺苯醌甲基化物  2-碘-7,8-二溴二苯并-1,4-二恶英  2-羟基-(1-N-亚硝基吲哚)丙酸  (8Z)-7-氧代-8-[[4-[4-[2-(4-...  氟哌啶醇4-叠氮基苯甲酸酯  N,N,N,N',N',N'-六甲基-6-苯基-3...  叔-丁氧羰基丙氨酰-Psi-硫代亚甲基-苯丙氨酸  12-羟基-5,8,14-二十碳三烯酸  Scyliorhinin II (3-18)  1-(2-硝基-4,5-二甲氧基苯基)-N,N,N...