Online Database of Chemicals from Around the World

Leu-ile-ser-bradykinin
[CAS# 117525-89-0]

Suppliers
CAS#: 117525-89-0
Product: Leu-ile-ser-bradykinin
No suppilers available for the product.
Identification
Name Leu-ile-ser-bradykinin
Synonyms (2S)-2-[[(2S)-2-[[(2S)-1-[(2S)-2-[[(2S)-2-[[2-[[(2S)-1-[(2S)-1-[(2S)-2-[[(2S)-2-[[(2S,3S)-2-[[(2S)-2-Amino-4-Methyl-Pentanoyl]Amino]-3-Methyl-Pentanoyl]Amino]-3-Hydroxy-Propanoyl]Amino]-5-Guanidino-Pentanoyl]Pyrrolidine-2-Carbonyl]Pyrrolidine-2-Carbonyl]Amino]Acetyl]Amino]-3-Phenyl-Propanoyl]Amino]-3-Hydroxy-Propanoyl]Pyrrolidine-2-Carbonyl]Amino]-3-Phenyl-Propanoyl]Amino]-5-Guanidino-Pentanoic Acid; (2S)-2-[[(2S)-2-[[[(2S)-1-[(2S)-2-[[(2S)-2-[[2-[[[(2S)-1-[[(2S)-1-[(2S)-2-[[(2S)-2-[[(2S,3S)-2-[[(2S)-2-Amino-4-Methyl-1-Oxopentyl]Amino]-3-Methyl-1-Oxopentyl]Amino]-3-Hydroxy-1-Oxopropyl]Amino]-5-Guanidino-1-Oxopentyl]-2-Pyrrolidinyl]-Oxomethyl]-2-Pyrrolidinyl]-Oxomethyl]Amino]-1-Oxoethyl]Amino]-1-Oxo-3-Phenylpropyl]Amino]-3-Hydroxy-1-Oxopropyl]-2-Pyrrolidinyl]-Oxomethyl]Amino]-1-Oxo-3-Phenylpropyl]Amino]-5-Guanidinopentanoic Acid; (2S)-2-[[(2S)-2-[[(2S)-1-[(2S)-2-[[(2S)-2-[[2-[[(2S)-1-[(2S)-1-[(2S)-2-[[(2S)-2-[[(2S,3S)-2-[[(2S)-2-Amino-4-Methyl-Pentanoyl]Amino]-3-Methyl-Pentanoyl]Amino]-3-Hydroxy-Propanoyl]Amino]-5-Guanidino-Pentanoyl]Pyrrolidine-2-Carbonyl]Pyrrolidine-2-Carbonyl]Amino]Acetyl]Amino]-3-Phenyl-Propanoyl]Amino]-3-Hydroxy-Propanoyl]Pyrrolidine-2-Carbonyl]Amino]-3-Phenyl-Propanoyl]Amino]-5-Guanidino-Valeric Acid
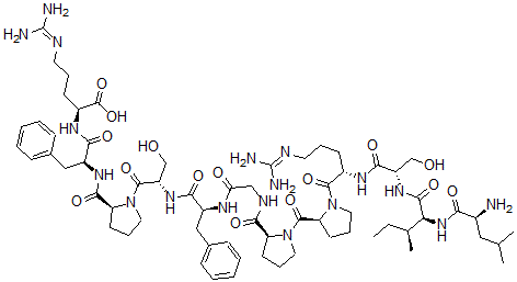
Molecular Structure CAS#: 117525-89-0, Leu-ile-ser-bradykinin
Molecular Formula C65H100N18O15
Molecular Weight 1373.62
CAS Registry Number 117525-89-0
SMILES [C@@H]1(N(CCC1)C(=O)[C@@H](NC(=O)[C@@H](NC(=O)[C@@H](NC(=O)[C@@H](N)CC(C)C)[C@H](CC)C)CO)CCCN=C(N)N)C(=O)N2[C@@H](CCC2)C(=O)NCC(=O)N[C@H](C(=O)N[C@H](C(=O)N3[C@@H](CCC3)C(=O)N[C@@H](CC4=CC=CC=C4)C(=O)N[C@@H](CCCN=C(N)N)C(O)=O)CO)CC5=CC=CC=C5
InChI 1S/C65H100N18O15/c1-5-38(4)52(80-53(87)41(66)31-37(2)3)59(93)78-46(35-84)56(90)75-42(21-12-26-71-64(67)68)60(94)83-30-16-25-50(83)62(96)82-29-14-23-48(82)57(91)73-34-51(86)74-44(32-39-17-8-6-9-18-39)54(88)79-47(36-85)61(95)81-28-15-24-49(81)58(92)77-45(33-40-19-10-7-11-20-40)55(89)76-43(63(97)98)22-13-27-72-65(69)70/h6-11,17-20,37-38,41-50,52,84-85H,5,12-16,21-36,66H2,1-4H3,(H,73,91)(H,74,86)(H,75,90)(H,76,89)(H,77,92)(H,78,93)(H,79,88)(H,80,87)(H,97,98)(H4,67,68,71)(H4,69,70,72)/t38-,41-,42-,43-,44-,45-,46-,47-,48-,49-,50-,52-/m0/s1
InChIKey ZJDPLLSGJXQZSR-HMPWLZDGSA-N
Properties
Density 1.448g/cm3 (Cal.)
Market Analysis Reports
List of Reports Available for Leu-ile-ser-bradykinin
Related Products
(2R)-2-[[(2S,3S)-2-Amino-3-Methylpentano...  7-Amino-1,3-Dimethyl-8H-Pyrido[3,2-e]Pyr...  N-(4-Hexylphenyl)-4,5-Dihydro-1,3-Thiazo...  (2R,3R,4S,5S,6R)-2-[(2R,3S,4R,5R,6R)-4,5...  2,2-Dimethyl-4-(2-Oxopyridin-1-Yl)Chrome...  [(1S,2S,3R)-2,3-Di(Hexanoyloxy)Cyclopent...  (2S)-2-amino-3-mercapto-3-methyl-butyric...  4-Aminonaphthalene-1,5-Disulfonic Acid  2-(5-Methyl-9-Oxoxanthen-4-Yl)Acetic Aci...  2-(8-Methyl-9-Oxoxanthen-4-Yl)Acetic Aci...  2-[(2,3-Dihydroxypropoxy-Hydroxyphosphor...  [(2R,3S)-5-(6-Aminopurin-9-Yl)-3-Hydroxy...  2,6-Dibromospirost-4-Ene-3-One  Prephenyllactate  10-(3-(Dimethylammonio)-2-methylpropyl)-...