Online Database of Chemicals from Around the World

伊瑞霉素糖苷配基
[CAS# 119789-44-5]

供应商
CAS#: 119789-44-5
产品: 伊瑞霉素糖苷配基
暂时没有厂家供应该产品。
基本信息
产品名称 伊瑞霉素糖苷配基
英文名 Eremomycin Aglycone
别名 Vancomycin, 44-O-De[2-O-(3-Amino-2,3,6-Trideoxy-3-C-Methyl-.Alpha.-Lyxo-Hexopyranosyl)-.Beta.-Glucopyranosyl]-19-Dechloro-; Aids181210; Eremomycin Aglycon
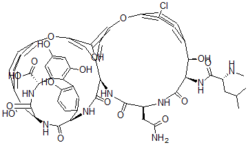
分子结构 CAS 登录号:119789-44-5, 伊瑞霉素糖苷配基
分子式 C53H53ClN8O17
分子量 1109.50
CAS 登录号 119789-44-5
分子行输入简码 SMILES [C@H]35NC(=O)[C@@H]1NC(=O)[C@@H](NC(=O)[C@H](NC(=O)[C@H](NC)CC(C)C)[C@H](O)C8=CC(=C(OC2=C(O)C(=CC1=C2)OC7=CC=C([C@@H](O)[C@H](NC3=O)C(=O)N[C@@H](C4=CC(=CC(=C4C6=C(O)C=CC5=C6)O)O)C(=O)O)C=C7)C=C8)Cl)CC(=O)N
国际化学标识码 InChI 1S/C53H53ClN8O17/c1-20(2)12-30(56-3)47(70)61-43-45(68)23-7-11-34(29(54)14-23)79-36-16-24-15-35(46(36)69)78-26-8-4-21(5-9-26)44(67)42-52(75)60-41(53(76)77)28-17-25(63)18-33(65)38(28)27-13-22(6-10-32(27)64)39(49(72)62-42)59-50(73)40(24)58-48(71)31(19-37(55)66)57-51(43)74/h4-11,13-18,20,30-31,39-45,56,63-65,67-69H,12,19H2,1-3H3,(H2,55,66)(H,57,74)(H,58,71)(H,59,73)(H,60,75)(H,61,70)(H,62,72)(H,76,77)/t30-,31+,39-,40-,41+,42+,43-,44-,45-/m1/s1
国际化学标识检索码 InChIKey RWFDKJBPMLNBSI-GAZOPBORSA-N
物理化学性质
密度 1.65g/cm3 (计算值)
市场分析报告
请浏览伊瑞霉素糖苷配基市场分析报告总目录
相关产品
6,9,12,15-十四碳四烯酸  N-3-(4-羟基苯基)丙酰基-脯氨酰-脯氨酰-甘...  卡折来新  5,8,8a,9,10,11,12,12a,13,...  甲基 2,4,6-三脱氧-2,4-二-C-甲基吡喃...  3-(3-氟苯基)-N-N-丙基哌啶  2-去氨基-2,3-二甲基-N(10)-炔丙基-5...  N-丙基-去甲氢羟吗啡酮  5-(羟基甲基)-2-甲基-4-(巯基甲基)吡啶-...  N-(1-脱氧果糖基)两性霉素B  9-甲基-3H-嘌呤-2,6-二酮  2-苯基环戊烷-1-酮  (R)-1-叔丁氧羰基-2-叔丁基-3-甲基-4-...  26,26,26,27,27-五氟-1-羟基-27...  4-氧代硫杂环己烷-3-羧酸乙酯