Online Database of Chemicals from Around the World

9-Deoxy-9-(propylamino)erythromycin
[CAS# 119904-03-9]

Suppliers
CAS#: 119904-03-9
Product: 9-Deoxy-9-(propylamino)erythromycin
No suppilers available for the product.
Identification
Name 9-Deoxy-9-(propylamino)erythromycin
Synonyms 6-(4-Dimethylamino-3-Hydroxy-6-Methyl-Tetrahydropyran-2-Yl)Oxy-14-Ethyl-7,12,13-Trihydroxy-4-(5-Hydroxy-4-Methoxy-4,6-Dimethyl-Tetrahydropyran-2-Yl)Oxy-3,5,7,9,11,13-Hexamethyl-10-Propylamino-1-Oxacyclotetradecan-2-One; 6-[(4-Dimethylamino-3-Hydroxy-6-Methyl-2-Tetrahydropyranyl)Oxy]-14-Ethyl-7,12,13-Trihydroxy-4-[(5-Hydroxy-4-Methoxy-4,6-Dimethyl-2-Tetrahydropyranyl)Oxy]-3,5,7,9,11,13-Hexamethyl-10-Propylamino-1-Oxacyclotetradecan-2-One; 6-(4-Dimethylamino-3-Hydroxy-6-Methyl-Oxan-2-Yl)Oxy-14-Ethyl-7,12,13-Trihydroxy-4-(5-Hydroxy-4-Methoxy-4,6-Dimethyl-Oxan-2-Yl)Oxy-3,5,7,9,11,13-Hexamethyl-10-Propylamino-1-Oxacyclotetradecan-2-One
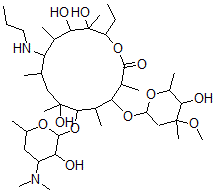
Molecular Structure CAS#: 119904-03-9, 9-Deoxy-9-(propylamino)erythromycin
Molecular Formula C40H76N2O12
Molecular Weight 777.05
CAS Registry Number 119904-03-9
SMILES C(C3OC(=O)C(C(OC1OC(C(O)C(OC)(C1)C)C)C(C(OC2OC(CC(N(C)C)C2O)C)C(O)(CC(C(NCCC)C(C(O)C3(O)C)C)C)C)C)C)C
InChI 1S/C40H76N2O12/c1-15-17-41-30-21(3)19-38(9,47)35(54-37-31(43)27(42(12)13)18-22(4)50-37)24(6)32(53-29-20-39(10,49-14)34(45)26(8)51-29)25(7)36(46)52-28(16-2)40(11,48)33(44)23(30)5/h21-35,37,41,43-45,47-48H,15-20H2,1-14H3
InChIKey JDBGPLZPTBGQMX-UHFFFAOYSA-N
Properties
Density 1.166g/cm3 (Cal.)
Boiling point 830.385°C at 760 mmHg (Cal.)
Flash point 456°C (Cal.)
Market Analysis Reports
List of Reports Available for 9-Deoxy-9-(propylamino)erythromycin
Related Products
1-Stearoyl-2-Arachidonoylphosphatidic Ac...  1-Palmitoyl-2-Arachidonoyl Plasmalogen P...  4(5)-(2-Amino-1-Hydroxyethyl)Imidazole  5-(2-Aminoethyl)Benzene-1,2,4-Triol Hydr...  4-Ethoxyphenyl Chloroacetate  (2E)-2-(Nitrosomethylidene)-3H-1,3-Benzo...  N-(3-Hydroxy-alpha-Methyl-L-Tyrosyl)-L-P...  Mercaptomethyl-4-Methylpentanoyl-Phenyla...  1-Chloro-4-Methylsulfanyl-2-Nitrobenzene  2-(6'-Carboxyhexyl)-3-N-Hexylcyclohexyla...  (2S,12bS)-1',3'-dimethylspiro[1,3,4,6,7,...  8,17-Epoxylabd-12-Ene-15,16-Dial  Methyl 3-Deoxy-7,8-O-(1-Methylethylidene...  Bis(Pentafluorobenzyl)Disulfide  Collagen Type IV alpha1 (531-543)