Online Database of Chemicals from Around the World

6-叠氮基-1,6-二脱氧-3,4-O-异亚丙基-D-呋喃塔格糖
[CAS# 122194-05-2]

供应商
Glentham Life Sciences 英国 询价快递  
+44 (2033) 978-798
info@glenthamls.com
化学品供销商(2013 年起)
International Laboratory Limited 美国 询价快递  
+1 (650) 278-9963
admin@intlab.org
化学品生产商(2002 年起)
基本信息
产品名称 6-叠氮基-1,6-二脱氧-3,4-O-异亚丙基-D-呋喃塔格糖
英文名 6-Azido-1,6-dideoxy-3,4-O-isopropylidene-D-tagatofuranose
别名 6-Azido-1,6-dideoxy-3,4-O-isopropylidene-D-lyxo-2-hexulofuranose
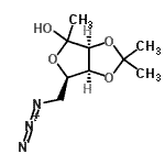
分子结构 CAS 登录号:122194-05-2, 6-叠氮基-1,6-二脱氧-3,4-O-异亚丙基-D-呋喃塔格糖
分子式 C9H15N3O4
分子量 229.23
CAS 登录号 122194-05-2
分子行输入简码 SMILES [N-]=[N+]=N\C[C@H]1OC(O)([C@H]2OC(O[C@@H]12)(C)C)C
国际化学标识码 InChI 1S/C9H15N3O4/c1-8(2)15-6-5(4-11-12-10)14-9(3,13)7(6)16-8/h5-7,13H,4H2,1-3H3/t5-,6+,7+,9?/m1/s1
国际化学标识检索码 InChIKey ITMTWRNHTCDZNL-VWQWZFRASA-N
物理化学性质
折射率 (计算值)
市场分析报告
请浏览6-叠氮基-1,6-二脱氧-3,4-O-异亚丙基-D-呋喃塔格糖市场分析报告总目录
相关产品
(3aR,4S,7R,7aS)-2,2,4-三甲基...  二异丙基氨基磷酸二甲酯  2-[(5-氨基-6-硝基-2-吡啶基)氨基]乙醇  乙基4,5-二氢-1,2,3-噻二唑-4-羧酸酯  (3R,4S,5S)-4-甲氧基-3,5-二乙烯基...  (3R,3aS,5S,6aR)-5-乙氧基-3,3...  4-乙酰基-4-氨基-1,2-恶唑烷-3-酮  甲基1,2-二甲基-1H-咪唑-5-羧酸酯  甲基4-亚氨基甲酰胺基苯甲酸酯  2-乙基-1H-咪唑并[4,5-f]喹喔啉  1-(1,3-苯并噻唑-2-基)-2-羟基乙烷酮  N-羟基苯甲酰胺  2-甲基-2-丙基(2-碘乙基)氨基甲酸酯  3-(甲基氨基)-2-喹喔啉羧酸  6,7-二羟基-4-喹唑啉羧酸