Online Database of Chemicals from Around the World

Ulithiacyclamide B
[CAS# 122759-67-5]

Suppliers
CAS#: 122759-67-5
Product: Ulithiacyclamide B
No suppilers available for the product.
Identification
Name Ulithiacyclamide B
Synonyms Ulithiacyclamide, 8-De(2-Methylpropyl)-8-(Phenylmethyl)-
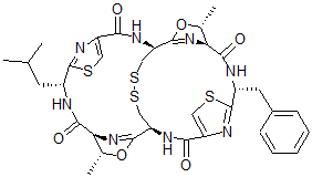
Molecular Structure CAS#: 122759-67-5, Ulithiacyclamide B
Molecular Formula C35H40N8O6S4
Molecular Weight 796.99
CAS Registry Number 122759-67-5
SMILES [C@@H]37N=C([C@@H]5NC(C1=CSC(=N1)[C@H](NC(=O)[C@H]6N=C([C@H](NC(C2=CSC(=N2)[C@H](NC3=O)CC4=CC=CC=C4)=O)CSSC5)O[C@@H]6C)CC(C)C)=O)O[C@@H]7C
InChI 1S/C35H40N8O6S4/c1-16(2)10-20-34-40-22(12-50-34)28(44)38-25-15-53-52-14-24(32-42-26(17(3)48-32)30(46)36-20)39-29(45)23-13-51-35(41-23)21(11-19-8-6-5-7-9-19)37-31(47)27-18(4)49-33(25)43-27/h5-9,12-13,16-18,20-21,24-27H,10-11,14-15H2,1-4H3,(H,36,46)(H,37,47)(H,38,44)(H,39,45)/t17-,18-,20-,21-,24-,25-,26+,27+/m1/s1
InChIKey ALXRBWFBPYGRNS-CIQZLZIBSA-N
Properties
Density 1.63g/cm3 (Cal.)
Boiling point 1111.617°C at 760 mmHg (Cal.)
Flash point 626.083°C (Cal.)
Market Analysis Reports
List of Reports Available for Ulithiacyclamide B
Related Products
4-Methyl-8-Methylenetricyclo[3.3.1.1(3,7...  Mefexamide Hydrochloride  4,6-Diethyl-1,3,4,5-Tetrahydropyrano(4,3...  3-(2-Methoxyphenyl)-1H-2-Benzopyran-1-On...  4-Ethoxy-3-Methoxybenzohydrazide  N-(2-Morpholin-4-Ylethyl)-2-Nitro-Thioph...  Trichloro(Cyclopentylamine)Platinate(0)  Tetraarsenic Tetrasulfide  2'-Methoxy-Biphenyl-3-Carbaldehyde  2-Phenyl-2-(2-Piperidinoethyl)-3-Methylv...  1-Cyclopropylhydrazinecarbothioamide  Sodium [3-[[(2-Propenylamino)Thioxomethy...  Glpinamida  Deriglidole  3-[2-(P-Fluorophenoxy)Ethyl]-3-Azaspiro[...