Online Database of Chemicals from Around the World

[(2R)-2-[3-[4-[(1E,3E,5E)-6-苯基己-1,3,5-三烯基]苯基]丙酰氧基]-3-膦酰氧基丙基]十六烷酸酯
[CAS# 124345-22-8]

供应商
CAS#: 124345-22-8
产品: [(2R)-2-[3-[4-[(1E,3E,5E)-6-苯基己-1,3,5-三烯基]苯基]丙酰氧基]-3-膦酰氧基丙基]十六烷酸酯
暂时没有厂家供应该产品。
基本信息
产品名称 [(2R)-2-[3-[4-[(1E,3E,5E)-6-苯基己-1,3,5-三烯基]苯基]丙酰氧基]-3-膦酰氧基丙基]十六烷酸酯
英文名 [(2R)-2-[3-[4-[(1E,3E,5E)-6-Phenylhexa-1,3,5-Trienyl]Phenyl]Propanoyloxy]-3-Phosphonooxypropyl] Hexadecanoate
别名 [(2R)-2-[3-[4-[(1E,3E,5E)-6-Phenylhexa-1,3,5-Trienyl]Phenyl]Propanoyloxy]-3-Phosphonooxy-Propyl] Hexadecanoate; Hexadecanoic Acid [(2R)-2-[1-Oxo-3-[4-[(1E,3E,5E)-6-Phenylhexa-1,3,5-Trienyl]Phenyl]Propoxy]-3-Phosphonooxypropyl] Ester; Palmitic Acid [(2R)-2-[3-[4-[(1E,3E,5E)-6-Phenylhexa-1,3,5-Trienyl]Phenyl]Propanoyloxy]-3-Phosphonooxy-Propyl] Ester
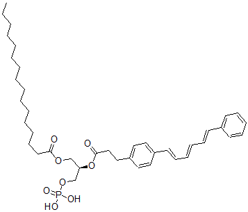
分子结构 CAS 登录号:124345-22-8, [(2R)-2-[3-[4-[(1E,3E,5E)-6-苯基己-1,3,5-三烯基]苯基]丙酰氧基]-3-膦酰氧基丙基]十六烷酸酯
分子式 C40H57O8P
分子量 696.86
CAS 登录号 124345-22-8
分子行输入简码 SMILES [C@H](OC(=O)CCC1=CC=C(C=C1)\C=C\C=C\C=C\C2=CC=CC=C2)(CO[P](=O)(O)O)COC(=O)CCCCCCCCCCCCCCC
国际化学标识码 InChI 1S/C40H57O8P/c1-2-3-4-5-6-7-8-9-10-11-12-13-21-26-39(41)46-33-38(34-47-49(43,44)45)48-40(42)32-31-37-29-27-36(28-30-37)25-18-15-14-17-22-35-23-19-16-20-24-35/h14-20,22-25,27-30,38H,2-13,21,26,31-34H2,1H3,(H2,43,44,45)/b15-14+,22-17+,25-18+/t38-/m1/s1
国际化学标识检索码 InChIKey ABEDEAONQWPDLX-WSKUTTHJSA-N
物理化学性质
密度 1.121g/cm3 (计算值)
沸点 806.645°C at 760 mmHg (计算值)
闪点 441.643°C (计算值)
市场分析报告
请浏览[(2R)-2-[3-[4-[(1E,3E,5E)-6-苯基己-1,3,5-三烯基]苯基]丙酰氧基]-3-膦酰氧基丙基]十六烷酸酯市场分析报告总目录
相关产品
二(2-二甲基氨基乙基)醚二甲酸盐  [(环庚基氨基)-膦酰甲基]膦酸  [(2R,3S,4R,5R)-5-[6-氨基-2-...  8-((4-溴-2,3-二氧代丁基)硫代)腺苷环3...  锶钒酸盐  1-(N-乙酰基-2-萘基)-丙氨酰-2-(4-氯...  N-十四烷基-P-甲苯磺酰胺  三铵硝酸盐硫酸盐  (4aS,7aS)-6,7a-二苯基螺[7,4a,...  6,7a-二苯基螺[4a,7a-二氢-4aH-环戊...  2-(1-苯并呋喃-4-基)-N-甲基-N-[(5...  [(2R,3S,4R,5R)-5-[6-氨基-2-...  三(苯并噻唑-N)三氯铑(III)  2,3,4,6,7-五溴二苯并呋喃  1,2,3,4,6,7-六溴二苯并呋喃