Online Database of Chemicals from Around the World

羽叶三七甙F2
[CAS# 125310-01-2]

供应商
CAS#: 125310-01-2
产品: 羽叶三七甙F2
暂时没有厂家供应该产品。
基本信息
产品名称 羽叶三七甙F2
英文名 Bipinnatifidusoside F2
别名 (2S,3R,4S,5S,6R)-2-[(E,1S)-1-[(10R,12S,13S,14R,17S)-3-[(2R,3R,4S,5S,6R)-4,5-Dihydroxy-6-(Hydroxymethyl)-3-[(2S,3R,4S,5S,6R)-3,4,5-Trihydroxy-6-(Hydroxymethyl)Tetrahydropyran-2-Yl]Oxy-Tetrahydropyran-2-Yl]Oxy-12-Hydroxy-4,4,10,14-Tetramethyl-1,2,3,5,6,7,8,9,11,12,13,15,16,17-Tetradecahydrocyclopenta[A]Phenanthren-17-Yl]-4-Hydroxy-1,5-Dimethyl-Hex-2-Enoxy]-6-(Hydroxymethyl)Tetrahydropyran-3,4,5-Triol; (2S,3R,4S,5S,6R)-2-[(E,1S)-1-[(10R,12S,13S,14R,17S)-3-[[(2R,3R,4S,5S,6R)-4,5-Dihydroxy-6-(Hydroxymethyl)-3-[[(2S,3R,4S,5S,6R)-3,4,5-Trihydroxy-6-(Hydroxymethyl)-2-Tetrahydropyranyl]Oxy]-2-Tetrahydropyranyl]Oxy]-12-Hydroxy-4,4,10,14-Tetramethyl-1,2,3,5,6,7,8,9,11,12,13,15,16,17-Tetradecahydrocyclopenta[A]Phenanthren-17-Yl]-4-Hydroxy-1,5-Dimethylhex-2-Enoxy]-6-(Hydroxymethyl)Tetrahydropyran-3,4,5-Triol; (2S,3R,4S,5S,6R)-2-[(E,1S)-1-[(10R,12S,13S,14R,17S)-3-[(2R,3R,4S,5S,6R)-4,5-Dihydroxy-6-Methylol-3-[(2S,3R,4S,5S,6R)-3,4,5-Trihydroxy-6-Methylol-Tetrahydropyran-2-Yl]Oxy-Tetrahydropyran-2-Yl]Oxy-12-Hydroxy-4,4,10,14-Tetramethyl-1,2,3,5,6,7,8,9,11,12,13,15,16,17-Tetradecahydrocyclopenta[A]Phenanthren-17-Yl]-4-Hydroxy-1,5-Dimethyl-Hex-2-Enoxy]-6-Methylol-Tetrahydropyran-3,4,5-Triol
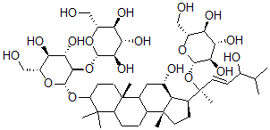
分子结构 CAS 登录号:125310-01-2, 羽叶三七甙F2
分子式 C47H80O19
分子量 949.14
CAS 登录号 125310-01-2
分子行输入简码 SMILES [C@H]56[C@@](C4C([C@@]3(C(C(C(O[C@@H]1O[C@@H]([C@@H](O)[C@H](O)[C@H]1O[C@@H]2O[C@@H]([C@@H](O)[C@H](O)[C@H]2O)CO)CO)CC3)(C)C)CC4)C)C[C@@H]5O)(CC[C@@H]6[C@@](O[C@@H]7O[C@@H]([C@@H](O)[C@H](O)[C@H]7O)CO)(\C=C\C(O)C(C)C)C)C
国际化学标识码 InChI 1S/C47H80O19/c1-20(2)24(51)11-15-47(7,66-42-39(60)36(57)33(54)27(18-49)62-42)22-10-13-46(6)21-8-9-29-44(3,4)30(12-14-45(29,5)23(21)16-25(52)31(22)46)64-43-40(37(58)34(55)28(19-50)63-43)65-41-38(59)35(56)32(53)26(17-48)61-41/h11,15,20-43,48-60H,8-10,12-14,16-19H2,1-7H3/b15-11+/t21?,22-,23?,24?,25-,26+,27+,28+,29?,30?,31+,32+,33+,34+,35-,36-,37-,38+,39+,40+,41-,42-,43-,45+,46+,47-/m0/s1
国际化学标识检索码 InChIKey FDBYKTWBCHWRCZ-MPKSCNMJSA-N
物理化学性质
密度 1.42g/cm3 (计算值)
沸点 1049.595°C at 760 mmHg (计算值)
闪点 588.574°C (计算值)
市场分析报告
请浏览羽叶三七甙F2市场分析报告总目录
相关产品
苦绳甙元I  1-(脱氧鸟苷-N(2)-基)-2-氨基菲  5-溴-6-乙氧基-5,6-二氢-2',3'-异丙...  3-O-(2-乙酰氨基-2-脱氧吡喃半乳糖基)-乙...  3-羧基苯基苯基乙酰氨基甲基膦酸酯  gamma-叔丁基氧基-谷氨酰-甘氨酰-精氨酰-3...  4-甲基伞形酮磷酸酯二锂盐  假细锥素A  8-氯-7-羟基-3-甲基-5-(7-苯并呋喃基)...  成根素  三锡三氧化物  1,3,5,7,2,4,6,8-四氧杂四锡杂环辛烷  皮质醇21-硫酸盐  4-甲氧羰基-苄基三苯基鏻氯化物  1-甲基-2beta-苄基-5beta-壬基吡咯烷...