Online Database of Chemicals from Around the World

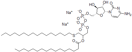
[(2R,3S,4S,5R)-5-(4-氨基-2-氧代-嘧啶-1-基)-3,4-二羟基-四氢呋喃-2-基]甲氧基-[[3-(鲸蜡基硫代)-2-棕榈酰氧基-丙氧基]-羟基-氧代-鏻基]氧基-次磷酸二钠
[CAS# 125592-29-2]

供应商
CAS#: 125592-29-2
产品: [(2R,3S,4S,5R)-5-(4-氨基-2-氧代-嘧啶-1-基)-3,4-二羟基-四氢呋喃-2-基]甲氧基-[[3-(鲸蜡基硫代)-2-棕榈酰氧基-丙氧基]-羟基-氧代-鏻基]氧基-次磷酸二钠
暂时没有厂家供应该产品。
基本信息
产品名称 [(2R,3S,4S,5R)-5-(4-氨基-2-氧代-嘧啶-1-基)-3,4-二羟基-四氢呋喃-2-基]甲氧基-[[3-(鲸蜡基硫代)-2-棕榈酰氧基-丙氧基]-羟基-氧代-鏻基]氧基-次磷酸二钠
英文名 disodium [(2R,3S,4S,5R)-5-(4-amino-2-keto-pyrimidin-1-yl)-3,4-dihydroxy-tetrahydrofuran-2-yl]methoxy-[[3-(cetylthio)-2-hexadecanoyloxy-propoxy]-hydroxy-oxido-phosphaniumyl]oxy-phosphinic acid
别名 Disodium [(2R,3S,4S,5R)-5-(4-Amino-2-Oxo-Pyrimidin-1-Yl)-3,4-Dihydroxy-Tetrahydrofuran-2-Yl]Methoxy-[(2-Hexadecanoyloxy-3-Hexadecylsulfanyl-Propoxy)-Hydroxy-Oxido-Phosphaniumyl]Oxy-Phosphinic Acid; Disodium [(2R,3S,4S,5R)-5-(4-Amino-2-Oxo-1-Pyrimidinyl)-3,4-Dihydroxy-2-Tetrahydrofuranyl]Methoxy-[[3-(Hexadecylthio)-2-(1-Oxohexadecoxy)Propoxy]-Hydroxy-Oxidophosphaniumyl]Oxyphosphinic Acid; Disodium [(2R,3S,4S,5R)-5-(4-Amino-2-Keto-Pyrimidin-1-Yl)-3,4-Dihydroxy-Tetrahydrofuran-2-Yl]Methoxy-[[3-(Cetylthio)-2-Hexadecanoyloxy-Propoxy]-Hydroxy-Oxido-Phosphaniumyl]Oxy-Phosphinic Acid
分子结构 CAS 登录号:125592-29-2, [(2R,3S,4S,5R)-5-(4-氨基-2-氧代-嘧啶-1-基)-3,4-二羟基-四氢呋喃-2-基]甲氧基-[[3-(鲸蜡基硫代)-2-棕榈酰氧基-丙氧基]-羟基-氧代-鏻基]氧基-次磷酸二钠
分子式 C44H83N3Na2O13P2S
分子量 1002.14
CAS 登录号 125592-29-2
分子行输入简码 SMILES [C@H]1(O[C@@H]([C@@H](O)[C@@H]1O)CO[P](O[P](OCC(OC(=O)CCCCCCCCCCCCCCC)CSCCCCCCCCCCCCCCCC)(=O)O)(=O)O)N2C(=O)N=C(N)C=C2.[Na+].[Na+]
国际化学标识码 InChI 1S/C44H83N3O13P2S.2Na/c1-3-5-7-9-11-13-15-17-19-21-23-25-27-29-33-63-36-37(58-40(48)30-28-26-24-22-20-18-16-14-12-10-8-6-4-2)34-56-61(52,53)60-62(54,55)57-35-38-41(49)42(50)43(59-38)47-32-31-39(45)46-44(47)51;;/h31-32,37-38,41-43,49-50H,3-30,33-36H2,1-2H3,(H,52,53)(H,54,55)(H2,45,46,51);;/q;2*+1/t37?,38-,41-,42+,43-;;/m1../s1
国际化学标识检索码 InChIKey XSXWPAWSHVVCPI-ZHRDCSITSA-N
市场分析报告
请浏览[(2R,3S,4S,5R)-5-(4-氨基-2-氧代-嘧啶-1-基)-3,4-二羟基-四氢呋喃-2-基]甲氧基-[[3-(鲸蜡基硫代)-2-棕榈酰氧基-丙氧基]-羟基-氧代-鏻基]氧基-次磷酸二钠市场分析报告总目录
相关产品
1,2,3,4,5,6-六[2-(4-戊基苯基)乙...  六氢-4-[3-[2-(三氟甲基)-10H-吩噻嗪...  11-羟基石房蛤毒素硫酸酯  胞苷 5'-(三氢二磷酸酯),单[2-(三甲基铵基...  (1R,4E,5'S,6S,6'S,7R,8S,1...  铜二(组氨酸酯)  7-[(1R,2S,3E,5Z)-10-(4-乙酰...  4-癸酰-5-羟基-2-亚甲基呋喃-3-酮  4-[(Z)-十二碳-5-烯酰基]-5-羟基-2-...  4-月桂酰-5-羟基-2-亚甲基呋喃-3-酮  5-羟基-2-亚甲基-4-[(Z)-十四碳-6-烯...  大器霉素A  大器霉素B  乙基N-[(3S)-5-氯-3-[(4-二乙基氨基...  gamma-3-促黑细胞激素(15-26)