Online Database of Chemicals from Around the World

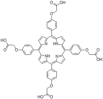
2,2',2'',2'''-[5,10,15,20-Porphyrintetrayltetrakis(4,1-Phenyleneoxy)]Tetraacetic Acid
[CAS# 127812-08-2]

Suppliers
Achemica Switzerland Inquire  
+41 (24) 466-2929
contact@achemica.com
Chemical manufacturer since 2010
International Laboratory Limited USA Inquire  
+1 (650) 278-9963
admin@intlab.org
Chemical manufacturer since 2002
PHARMEKS Ltd. Russian Federation Inquire  
+7 (495) 702-9648
sales@pharmeks.com
Chemical manufacturer since 2000
Identification
Name 2,2',2'',2'''-[5,10,15,20-Porphyrintetrayltetrakis(4,1-Phenyleneoxy)]Tetraacetic Acid
Synonyms 5,10,15,20-Tetrakis(4-carboxymethyloxyphenyl)-21H,23H-porphine; 5,10,15,20-Tetrakis(4-carboxymethyloxyphenyl)porphyrin
Molecular Structure CAS#: 127812-08-2, 2,2',2'',2'''-[5,10,15,20-Porphyrintetrayltetrakis(4,1-Phenyleneoxy)]Tetraacetic Acid
Molecular Formula C52H38N4O12
Molecular Weight 910.88
CAS Registry Number 127812-08-2
SMILES O=C(O)COc1ccc(cc1)c4c/9nc(c(c7nc(c(c\2nc(/C=C/2)c(c3ccc(OCC(=O)O)cc3)c5ccc4n5)c6ccc(OCC(=O)O)cc6)cc7)c8ccc(OCC(=O)O)cc8)\C=C\9
InChI 1S/C52H38N4O12/c57-45(58)25-65-33-9-1-29(2-10-33)49-37-17-19-39(53-37)50(30-3-11-34(12-4-30)66-26-46(59)60)41-21-23-43(55-41)52(32-7-15-36(16-8-32)68-28-48(63)64)44-24-22-42(56-44)51(40-20-18-38(49)54-40)31-5-13-35(14-6-31)67-27-47(61)62/h1-24,53,56H,25-28H2,(H,57,58)(H,59,60)(H,61,62)(H,63,64)/b49-37-,49-38-,50-39-,50-41-,51-40-,51-42-,52-43-,52-44-
InChIKey GIHZJFIAJYZVFA-QURNHSOUSA-N
Properties
Density 1.444g/cm3 (Cal.)
Refractive index 1.687 (Cal.)
Safety Data
SDS Available
Market Analysis Reports
List of Reports Available for 2,2',2'',2'''-[5,10,15,20-Porphyrintetrayltetrakis(4,1-Phenyleneoxy)]Tetraacetic Acid
Related Products
2-(2-Bromophenyl)Ethanimidamide Hydrochl...  Tris(4-Methylphenyl)Sulfonium Trifluorom...  (1-Oxo-4-Phenyl-2(1H)-Phthalazinyl)Aceti...  1-[4-(2-Phenylethyl)Benzyl]Naphthalene  1-(3-Methylbutanoyl)-2-Imidazolidinone  2-Methyl-1-(2-Thioxo-1-Imidazolidinyl)-1...  1-Isobutyryltetrahydro-2(1H)-Pyrimidinon...  4-(Hydroxymethyl)-2(1H)-Pyridinone  1-Bromo-2-Methyl-Octane  1-Bromo-2-Methyldecane  1-Benzyl-5-Methyl-2-Pyrrolidinethione  1-Benzyl-5-Ethyl-2-Pyrrolidinethione  3-Amino-3-[4-(Difluoromethoxy)Phenyl]Pro...  3-Amino-3-[2-(Difluoromethoxy)Phenyl]Pro...  (2E)-3-[2-(Difluoromethoxy)Phenyl]Acryli...