Online Database of Chemicals from Around the World

(2R,3R,5R,6R)-2,6-二(羟基甲基)哌啶-3,4,5-三醇
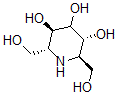
[CAS# 127995-29-3]

供应商
CAS#: 127995-29-3
产品: (2R,3R,5R,6R)-2,6-二(羟基甲基)哌啶-3,4,5-三醇
暂时没有厂家供应该产品。
基本信息
产品名称 (2R,3R,5R,6R)-2,6-二(羟基甲基)哌啶-3,4,5-三醇
英文名 (2R,3R,5R,6R)-2,6-Bis(Hydroxymethyl)Piperidine-3,4,5-Triol
别名 (2R,3R,5R,6R)-2,6-Dimethylolpiperidine-3,4,5-Triol; .Alpha.-Homomannojirimycin; Aids-060485
分子结构 CAS 登录号:127995-29-3, (2R,3R,5R,6R)-2,6-二(羟基甲基)哌啶-3,4,5-三醇
分子式 C7H15NO5
分子量 193.20
CAS 登录号 127995-29-3
分子行输入简码 SMILES [C@H]1([C@H](N[C@@H]([C@H](C1O)O)CO)CO)O
国际化学标识码 InChI 1S/C7H15NO5/c9-1-3-5(11)7(13)6(12)4(2-10)8-3/h3-13H,1-2H2/t3-,4-,5-,6-/m1/s1
国际化学标识检索码 InChIKey CLVUFWXGNIFGNC-KVTDHHQDSA-N
物理化学性质
密度 1.479g/cm3 (计算值)
沸点 432.034°C at 760 mmHg (计算值)
闪点 224.718°C (计算值)
市场分析报告
请浏览(2R,3R,5R,6R)-2,6-二(羟基甲基)哌啶-3,4,5-三醇市场分析报告总目录
相关产品
7-(4-氨基-5-羟基-6-甲基四氢吡喃-2-基...  6-羟基-7-O-甲基伪枝藻素B  1,6-己二异氰酸酯,甲苯二异氰酸酯聚合物  1-羟基-1-氧代丙烷-2-醇银  [[4-(2-氨基-4-氧代-5,8-二氢-1H-...  [(2R)-3-[[(2S,3S,5R)-3-叠氮...  (1S)-1-(2,3-二氢-1-苯并呋喃-7-基...  (6R,7S)-7-(1-羟基乙基)-8-氧代-5...  蛋白质激酶抑制肽  (2S)-N-甲基-2-(2-甲基丙基氨基)丙酰胺  [(3R)-3-(7,7-二氟十四烷酰氧基)-3-...  N-beta-D-吡喃葡萄糖基-L-谷氨酰胺酰-L...  苯-1,2,5,6,7,8,11,12-八氯-N,...  叔丁基(3S)-6-羟基-3-(甲基磺酰基氧基甲基...  (1aS)-7-((7-((1a,2-二氢-5-氧...