Online Database of Chemicals from Around the World

Calicheamicin epsilon
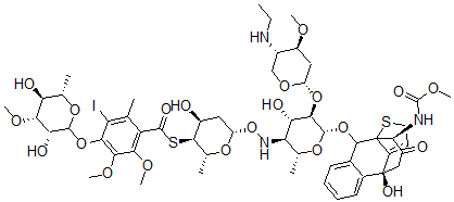
[CAS# 128050-91-9]

Suppliers
CAS#: 128050-91-9
Product: Calicheamicin epsilon
No suppilers available for the product.
Identification
Name Calicheamicin epsilon
Synonyms Calicheamicin Epsilon; Calicheamicin Epsilon-I; Clm Epsilon
Molecular Structure CAS#: 128050-91-9, Calicheamicin epsilon
Molecular Formula C54H74IN3O21S2
Molecular Weight 1292.21
CAS Registry Number 128050-91-9
SMILES [C@@]79(O)C1=CCSC1(C(O[C@@H]5O[C@@H]([C@@H](NO[C@@H]4O[C@@H]([C@@H](SC(=O)C3=C(OC)C(=C(OC2O[C@H]([C@H](O)[C@@H](OC)[C@H]2O)C)C(=C3C)I)OC)[C@@H](O)C4)C)[C@H](O)[C@H]5O[C@@H]6OC[C@H](NCC)[C@@H](OC)C6)C)C8=CC=CC=C78)[C@@H](NC(OC)=O)C(=O)C9
InChI 1S/C54H74IN3O21S2/c1-11-56-28-21-72-33(19-31(28)67-6)76-44-39(62)37(23(3)74-51(44)78-48-26-14-12-13-15-27(26)53(66)20-30(60)47(57-52(65)71-10)54(48)32(53)16-17-80-54)58-79-34-18-29(59)46(25(5)73-34)81-49(64)35-22(2)36(55)42(45(70-9)41(35)68-7)77-50-40(63)43(69-8)38(61)24(4)75-50/h12-16,23-25,28-29,31,33-34,37-40,43-44,46-48,50-51,56,58-59,61-63,66H,11,17-21H2,1-10H3,(H,57,65)/t23-,24+,25-,28+,29+,31+,33+,34+,37-,38+,39+,40-,43-,44-,46-,47+,48?,50?,51+,53-,54?/m1/s1
InChIKey XXTHLYVEMKYYDA-FRNXNLOSSA-N
Market Analysis Reports
List of Reports Available for Calicheamicin epsilon
Related Products
(1aS)-7-((1a,2-dihydro-5-oxo-1H-cyclopro...  18-Hexacosenoic Acid  (2R,3S,4S,5R,6S)-3,4,5-Trihydroxy-6-[2-O...  1,3-Bis(2,3-Dihydroindol-1-Yl)Propane-1,...  Phenylalanyl-glutaminyl-valyl-valyl-S-(3...  Mersacidin  1,2,3,4,10,10-Hexachloro-6,7-Epoxy-1,4,4...  Dexylosylbenanomicin B  (R)-N-((Hexahydro-1-Methyl-2,6-Dioxo-4-P...  N-(N-(N-Glycylglycyl)-L-histidyl)glycine  3-(4-Azidobenzoyloxy)Diltiazem  3-Methoxysampangine  1,2-Distearoyl-Sn-Glycero-3-Phospho-N-(4...  Phlorofucofuroeckol A  2-Oxo-6-Dehydroxyneoanisatin