Online Database of Chemicals from Around the World

N-[(E)-1-[3,4-二羟基-5-[5-羟基-6-(羟基甲基)-4-[3,4,5-三羟基-6-(羟基甲基)四氢吡喃-2-基]氧基-3-(3,4,5-三羟基四氢吡喃-2-基)氧基四氢吡喃-2-基]氧基-6-(羟基甲基)四氢吡喃-2-基]氧基-3-羟基十八碳-4-烯-2-基]二十四烷酰胺
[CAS# 128376-90-9]

供应商
CAS#: 128376-90-9
产品: N-[(E)-1-[3,4-二羟基-5-[5-羟基-6-(羟基甲基)-4-[3,4,5-三羟基-6-(羟基甲基)四氢吡喃-2-基]氧基-3-(3,4,5-三羟基四氢吡喃-2-基)氧基四氢吡喃-2-基]氧基-6-(羟基甲基)四氢吡喃-2-基]氧基-3-羟基十八碳-4-烯-2-基]二十四烷酰胺
暂时没有厂家供应该产品。
基本信息
产品名称 N-[(E)-1-[3,4-二羟基-5-[5-羟基-6-(羟基甲基)-4-[3,4,5-三羟基-6-(羟基甲基)四氢吡喃-2-基]氧基-3-(3,4,5-三羟基四氢吡喃-2-基)氧基四氢吡喃-2-基]氧基-6-(羟基甲基)四氢吡喃-2-基]氧基-3-羟基十八碳-4-烯-2-基]二十四烷酰胺
英文名 N-[(E)-1-[3,4-Dihydroxy-5-[5-Hydroxy-6-(Hydroxymethyl)-4-[3,4,5-Trihydroxy-6-(Hydroxymethyl)Oxan-2-Yl]Oxy-3-(3,4,5-Trihydroxyoxan-2-Yl)Oxyoxan-2-Yl]Oxy-6-(Hydroxymethyl)Oxan-2-Yl]Oxy-3-Hydroxyoctadec-4-En-2-Yl]Tetracosanamide
别名 N-[(E)-1-[[3,4-Dihydroxy-5-[5-Hydroxy-6-(Hydroxymethyl)-4-[3,4,5-Trihydroxy-6-(Hydroxymethyl)Tetrahydropyran-2-Yl]Oxy-3-(3,4,5-Trihydroxytetrahydropyran-2-Yl)Oxy-Tetrahydropyran-2-Yl]Oxy-6-(Hydroxymethyl)Tetrahydropyran-2-Yl]Oxymethyl]-2-Hydroxy-Heptadec-3-Enyl]Tetracosanamide; N-[(E)-1-[[3,4-Dihydroxy-5-[[5-Hydroxy-6-(Hydroxymethyl)-4-[[3,4,5-Trihydroxy-6-(Hydroxymethyl)-2-Tetrahydropyranyl]Oxy]-3-[(3,4,5-Trihydroxy-2-Tetrahydropyranyl)Oxy]-2-Tetrahydropyranyl]Oxy]-6-(Hydroxymethyl)-2-Tetrahydropyranyl]Oxymethyl]-2-Hydroxyheptadec-3-Enyl]Tetracosanamide; N-[(E)-1-[[3,4-Dihydroxy-5-[5-Hydroxy-6-Methylol-4-(3,4,5-Trihydroxy-6-Methylol-Tetrahydropyran-2-Yl)Oxy-3-(3,4,5-Trihydroxytetrahydropyran-2-Yl)Oxy-Tetrahydropyran-2-Yl]Oxy-6-Methylol-Tetrahydropyran-2-Yl]Oxymethyl]-2-Hydroxy-Heptadec-3-Enyl]Lignoceramide
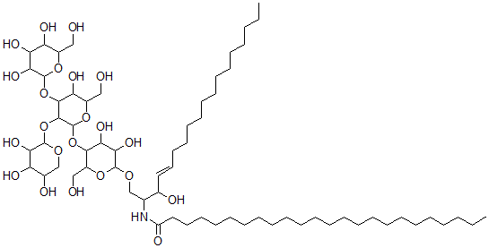
分子结构 CAS 登录号:128376-90-9, N-[(E)-1-[3,4-二羟基-5-[5-羟基-6-(羟基甲基)-4-[3,4,5-三羟基-6-(羟基甲基)四氢吡喃-2-基]氧基-3-(3,4,5-三羟基四氢吡喃-2-基)氧基四氢吡喃-2-基]氧基-6-(羟基甲基)四氢吡喃-2-基]氧基-3-羟基十八碳-4-烯-2-基]二十四烷酰胺
分子式 C65H121NO22
分子量 1268.66
CAS 登录号 128376-90-9
分子行输入简码 SMILES C(O)C4OC(OC1C(O)C(O)C(OC1CO)OCC(NC(=O)CCCCCCCCCCCCCCCCCCCCCCC)C(O)\C=C\CCCCCCCCCCCCC)C(OC2OCC(O)C(O)C2O)C(OC3OC(C(O)C(O)C3O)CO)C4O
国际化学标识码 InChI 1S/C65H121NO22/c1-3-5-7-9-11-13-15-17-18-19-20-21-22-23-24-26-28-30-32-34-36-38-50(72)66-44(45(70)37-35-33-31-29-27-25-16-14-12-10-8-6-4-2)42-81-62-58(80)55(77)59(49(41-69)85-62)86-65-61(88-63-56(78)51(73)46(71)43-82-63)60(53(75)48(40-68)84-65)87-64-57(79)54(76)52(74)47(39-67)83-64/h35,37,44-49,51-65,67-71,73-80H,3-34,36,38-43H2,1-2H3,(H,66,72)/b37-35+
国际化学标识检索码 InChIKey XDWZRGWUGSQHEW-MHAUTQJVSA-N
物理化学性质
密度 1.24g/cm3 (计算值)
沸点 1250.465°C at 760 mmHg (计算值)
闪点 710.055°C (计算值)
市场分析报告
请浏览N-[(E)-1-[3,4-二羟基-5-[5-羟基-6-(羟基甲基)-4-[3,4,5-三羟基-6-(羟基甲基)四氢吡喃-2-基]氧基-3-(3,4,5-三羟基四氢吡喃-2-基)氧基四氢吡喃-2-基]氧基-6-(羟基甲基)四氢吡喃-2-基]氧基-3-羟基十八碳-4-烯-2-基]二十四烷酰胺市场分析报告总目录
相关产品
6-甲基-6,11-二氢-11-((N,N-二甲基...  2-[[(2R)-2-[(2-溴乙酰基)氨基]-4...  7-羟基-2-甲基-5-[(2S,3R,4S,5S...  7-[3-[3,4-二羟基-4-(羟基甲基)四氢呋...  2-[(苯基氨基)-噻吩-2-基亚甲基]茚-1,3...  2-氯-6-苯基己酸  2-(甲基-(苯基甲基)氨基)-2-氧代乙酸乙酯  (2E)-2-[(4E)-4-[(E)-4-(2,...  阿卓霉菌素A  阿卓霉菌素C  3-[1-[(2S,3R,4S,5S)-4-叠氮基...  (10-甲氧基-4H-苯并(4,5)环庚并(1,2...  (2S,3R,4R,6E,12E,14R)-2-氨...  Decaplanin  7,8-二氢-4a-氢过氧基-1a,3,4,6-四...