Online Database of Chemicals from Around the World

(6E,10Z)-3-[(2R,3S,4S,5S,6R)-4-Amino-3,5-Dihydroxy-6-Methyloxan-2-Yl]Oxy-15-Butan-2-Yl-19,25,27,29-Tetrahydroxy-17,21-Dioxo-16,31-Dioxabicyclo[25.3.1]Hentriaconta-4,6,8,10,12-Pentaene-30-Carboxylic Acid
[CAS# 128808-63-9]

Suppliers
CAS#: 128808-63-9
Product: (6E,10Z)-3-[(2R,3S,4S,5S,6R)-4-Amino-3,5-Dihydroxy-6-Methyloxan-2-Yl]Oxy-15-Butan-2-Yl-19,25,27,29-Tetrahydroxy-17,21-Dioxo-16,31-Dioxabicyclo[25.3.1]Hentriaconta-4,6,8,10,12-Pentaene-30-Carboxylic Acid
No suppilers available for the product.
Identification
Name (6E,10Z)-3-[(2R,3S,4S,5S,6R)-4-Amino-3,5-Dihydroxy-6-Methyloxan-2-Yl]Oxy-15-Butan-2-Yl-19,25,27,29-Tetrahydroxy-17,21-Dioxo-16,31-Dioxabicyclo[25.3.1]Hentriaconta-4,6,8,10,12-Pentaene-30-Carboxylic Acid
Synonyms (6Z,10Z)-3-[(2R,3S,4S,5S,6R)-4-Amino-3,5-Dihydroxy-6-Methyloxan-2-Yl]Oxy-15-Butan-2-Yl-19,25,27,29-Tetrahydroxy-17,21-Dioxo-16,31-Dioxabicyclo[25.3.1]Hentriaconta-4,6,8,10,12-Pentaene-30-Carboxylic Acid; (6E,10Z)-3-[(2R,3S,4S,5S,6R)-4-Amino-3,5-Dihydroxy-6-Methyl-Tetrahydropyran-2-Yl]Oxy-19,25,27,29-Tetrahydroxy-17,21-Dioxo-15-Sec-Butyl-16,31-Dioxabicyclo[25.3.1]Hentriaconta-4,6,8,10,12-Pentaene-30-Carboxylic Acid; (6Z,10Z)-3-[(2R,3S,4S,5S,6R)-4-Amino-3,5-Dihydroxy-6-Methyl-Tetrahydropyran-2-Yl]Oxy-19,25,27,29-Tetrahydroxy-17,21-Dioxo-15-Sec-Butyl-16,31-Dioxabicyclo[25.3.1]Hentriaconta-4,6,8,10,12-Pentaene-30-Carboxylic Acid
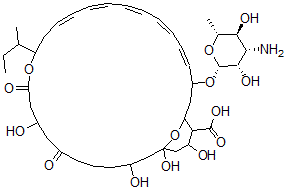
Molecular Structure CAS#: 128808-63-9, (6E,10Z)-3-[(2R,3S,4S,5S,6R)-4-Amino-3,5-Dihydroxy-6-Methyloxan-2-Yl]Oxy-15-Butan-2-Yl-19,25,27,29-Tetrahydroxy-17,21-Dioxo-16,31-Dioxabicyclo[25.3.1]Hentriaconta-4,6,8,10,12-Pentaene-30-Carboxylic Acid
Molecular Formula C40H61NO14
Molecular Weight 779.92
CAS Registry Number 128808-63-9
SMILES [C@@H]3(OC\2CC1OC(O)(CC(O)C1C(=O)O)CC(O)CCCC(=O)CC(O)CC(OC(C(CC)C)C\C=C/C=C\C=C/C=C\C=C2)=O)O[C@@H]([C@@H](O)[C@H](N)[C@@H]3O)C
InChI 1S/C40H61NO14/c1-4-24(2)31-18-13-11-9-7-5-6-8-10-12-17-29(53-39-37(48)35(41)36(47)25(3)52-39)21-32-34(38(49)50)30(45)23-40(51,55-32)22-27(43)16-14-15-26(42)19-28(44)20-33(46)54-31/h5-13,17,24-25,27-32,34-37,39,43-45,47-48,51H,4,14-16,18-23,41H2,1-3H3,(H,49,50)/b6-5-,9-7-,10-8-,13-11-,17-12-/t24?,25-,27?,28?,29?,30?,31?,32?,34?,35+,36-,37+,39+,40?/m1/s1
InChIKey QHYNZYOPJOICJB-KKWKNEDVSA-N
Market Analysis Reports
List of Reports Available for (6E,10Z)-3-[(2R,3S,4S,5S,6R)-4-Amino-3,5-Dihydroxy-6-Methyloxan-2-Yl]Oxy-15-Butan-2-Yl-19,25,27,29-Tetrahydroxy-17,21-Dioxo-16,31-Dioxabicyclo[25.3.1]Hentriaconta-4,6,8,10,12-Pentaene-30-Carboxylic Acid
Related Products
(2S)-2-Amino-3-(2,6-Difluoro-3,4-Dihydro...  4,11-Diaminonaphtho[3,2-f]Isoindole-1,3,...  2-[[(2S)-1-(Bis(Carboxymethyl)Amino)-3-[...  1-[4-(2-Chlorophenyl)-6,7-Dimethylquinol...  (Sp-4-2-(2S-trans))-(18-Carboxy-20-(Carb...  1-Amino-2-Bromo-4-[(4-Methylphenyl)Amino...  N-[2-[4-(Cyclohexylcarbamoylsulfamoyl)Ph...  2-[4-[[(2S)-2-[[4-(Aminomethyl)Cyclohexa...  N-(3-Fluoropropyl)-N-norbuprenorphine  (4-Tert-Butyl-2-Hydroxycyclohexyl) 2-Met...  4-(Benzoyl)-1-Methylpyrrole-2-Carbaldehy...  1,4-Diamino-2,3-Dihydroxyanthracene-9,10...  (3S,5S,8aR)-3-Butyl-5-Pent-4-Enyl-1,2,3,...  (8S,13S,14S,17S)-17-[(2R)-2-Fluoropropan...  3-(4-Hydroxyphenyl)-5-Methoxy-7-[(2S,3R,...