Online Database of Chemicals from Around the World

(2S,3S,4S,5S,6R)-6-[(1S)-1,2-二羟基乙基]四氢吡喃-2,3,4,5-四醇
[CAS# 130272-67-2]

供应商
CAS#: 130272-67-2
产品: (2S,3S,4S,5S,6R)-6-[(1S)-1,2-二羟基乙基]四氢吡喃-2,3,4,5-四醇
暂时没有厂家供应该产品。
基本信息
产品名称 (2S,3S,4S,5S,6R)-6-[(1S)-1,2-二羟基乙基]四氢吡喃-2,3,4,5-四醇
英文名 (2S,3S,4S,5S,6R)-6-[(1S)-1,2-Dihydroxyethyl]Oxane-2,3,4,5-Tetrol
别名 (2S,3S,4S,5S,6R)-6-[(1S)-1,2-Dihydroxyethyl]Tetrahydropyran-2,3,4,5-Tetrol; Gmh; L-Glycero-D-Manno-Heptopyranose
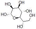
分子结构 CAS 登录号:130272-67-2, (2S,3S,4S,5S,6R)-6-[(1S)-1,2-二羟基乙基]四氢吡喃-2,3,4,5-四醇
分子式 C7H14O7
分子量 210.18
CAS 登录号 130272-67-2
分子行输入简码 SMILES [C@@H]1([C@H]([C@@H]([C@H](O[C@@H]1O)[C@H](CO)O)O)O)O
国际化学标识码 InChI 1S/C7H14O7/c8-1-2(9)6-4(11)3(10)5(12)7(13)14-6/h2-13H,1H2/t2-,3-,4-,5-,6+,7-/m0/s1
国际化学标识检索码 InChIKey BGWQRWREUZVRGI-QQABCQGCSA-N
物理化学性质
密度 1.811g/cm3 (计算值)
沸点 504.308°C at 760 mmHg (计算值)
闪点 258.796°C (计算值)
市场分析报告
请浏览(2S,3S,4S,5S,6R)-6-[(1S)-1,2-二羟基乙基]四氢吡喃-2,3,4,5-四醇市场分析报告总目录
相关产品
(2R,3S,4R,5R)-3,4,5,6-四羟基...  4,5,6,7-四溴苯酚酞  5alpha-胆甾烷-3beta,5alpha-二...  N-[(2S)-2-羟基丁基]-2,2-二(苯基)...  2,2-二(4-氯苯基)-N-[(2S)-2-羟基...  (Z)-5-[(3aS,5R,6R,6aS)-5-...  反-三环(4.2.0.0(2,5))辛烷  [(2R,3S,5R)-5-[8-(9H-芴-2-...  (3R,4Z,6Z,8E)-3-羟基-2,2,4-...  27-甲基7-O-(4-叠氮基苯甲酰基)冈田酸酯  (2alpha,4alpha,4abeta,9ab...  (1S,2R,5R)-5',7'-二羟基-7,7-...  4-羟基-6-(4-羟基苯基)-2-(2-羟基丙-...  1-(2a,7b-二氢-2a,7b-二甲基-1,2...  双烯雌酚