Online Database of Chemicals from Around the World

9-(N6-(5-叠氮基-2-硝基苄基)-L-赖氨酸)-11-L-酪氨酸生长抑素
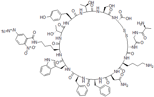
[CAS# 130772-41-7]

供应商
CAS#: 130772-41-7
产品: 9-(N6-(5-叠氮基-2-硝基苄基)-L-赖氨酸)-11-L-酪氨酸生长抑素
暂时没有厂家供应该产品。
基本信息
产品名称 9-(N6-(5-叠氮基-2-硝基苄基)-L-赖氨酸)-11-L-酪氨酸生长抑素
英文名 9-(N6-(5-Azido-2-Nitrobenzyl)-L-Lysine)-11-L-Tyrosinesomatostatin
别名 9-Lys-11-Iodo-Tyr-Azidonitrobenzoyl-Somatostatin; Anb-Lys(9)-Somatostatin; Somatostatin (Sheep), 9-(N6-(5-Azido-2-Nitrobenzyl)-L-Lysine)-11-L-Tyrosine-
分子结构 CAS 登录号:130772-41-7, 9-(N6-(5-叠氮基-2-硝基苄基)-L-赖氨酸)-11-L-酪氨酸生长抑素
分子式 C83H106N22O23S2
分子量 1844.00
CAS 登录号 130772-41-7
分子行输入简码 SMILES [N+](=NC1=CC(=C(C=C1)[N+]([O-])=O)C(NCCCC[C@H]4C(=O)NC(C(=O)N[C@H](C(NC(C(=O)N[C@H](C(N[C@@H](CSSC[C@@H](C(=O)N[C@@H](CCCCN)C(N[C@@H](CC(=O)N)C(=O)N[C@H](C(=O)N[C@H](C(=O)N[C@@H](CC2=C[NH]C3=C2C=CC=C3)C(N4)=O)CC5=CC=CC=C5)CC6=CC=CC=C6)=O)NC(CNC(=O)[C@H](C)N)=O)C(=O)O)=O)CO)[C@H](O)C)=O)CC7=CC=C(C=C7)O)[C@H](O)C)=O)=[N-]
国际化学标识码 InChI 1S/C83H106N22O23S2/c1-43(85)70(112)90-39-67(111)91-63-41-129-130-42-64(83(125)126)100-79(121)62(40-106)99-82(124)69(45(3)108)102-78(120)59(34-48-24-27-51(109)28-25-48)98-81(123)68(44(2)107)101-73(115)56(23-13-15-31-88-71(113)53-36-50(103-104-87)26-29-65(53)105(127)128)92-76(118)60(35-49-38-89-54-21-11-10-20-52(49)54)96-75(117)58(33-47-18-8-5-9-19-47)94-74(116)57(32-46-16-6-4-7-17-46)95-77(119)61(37-66(86)110)97-72(114)55(93-80(63)122)22-12-14-30-84/h4-11,16-21,24-29,36,38,43-45,55-64,68-69,89,106-109H,12-15,22-23,30-35,37,39-42,84-85H2,1-3H3,(H2,86,110)(H,88,113)(H,90,112)(H,91,111)(H,92,118)(H,93,122)(H,94,116)(H,95,119)(H,96,117)(H,97,114)(H,98,123)(H,99,124)(H,100,121)(H,101,115)(H,102,120)(H,125,126)/t43-,44+,45+,55-,56-,57-,58-,59-,60-,61-,62-,63-,64-,68?,69?/m0/s1
国际化学标识检索码 InChIKey BCIXQLQPMIXMPL-YPSIBLKKSA-N
市场分析报告
请浏览9-(N6-(5-叠氮基-2-硝基苄基)-L-赖氨酸)-11-L-酪氨酸生长抑素市场分析报告总目录
相关产品
N2-[4-[4-[(4,6-二氨基-1,3,5-...  三甲基锑二碘化物  氯-氟-三甲基-锑烷  1-(3-甲基苯基)哌嗪二盐酸盐水合物  1-(对甲苯基)哌嗪二盐酸盐  4-[(2S,3R,4S,5S)-3,4,5-三羟...  5-苯胺基-1,2,3,4-硫杂三唑  4-[1-羟基-2-[4-(4-羟基苯基)丁基氨基...  4-[3-[[2-(3,4-二羟基苯基)-2-羟基...  1,1'-(乙烯二氧基)二(3-氯丙-2-醇)  N-甲基-N-(2-甲基丁基)亚硝酰胺  [(2S,3R,4S,5S,6R)-2-[(2R,...  1-甲氧基-4-[4-(4-甲氧基苯基)己烷-3-...  4-羟基-5-[[4-[4-[(8-羟基-3,6-...  [(2R,3R,4R,5R)-2-(6-氨基嘌呤-...