基本信息
| 产品名称 |
番薯苷II |
| 英文名 |
Scammonin II |
| 别名 |
11-(O-Glucopyranosyl-(1-4)-O-6-Deoxy-2-O-(2-Methyl-1-Oxobutyl)Mannopyranosyl-(1-2)-Glucopyranosyl-(1-2)-6-Deoxyglucopyranosyl)Oxy-11-Hydroxyhexadecanoic Acid, Intramol 1,3'''-Ester; Hexadecanoic Acid, 11-((O-6-Deoxy-Beta-D-Glucopyranosyl-(1-4)-O-(S)-6-Deoxy-2-O-(2-Methyl-1-Oxobutyl)-Alpha-L-Mannopyranosyl-(1-2)-O-Beta-D-Glucopyranosyl-(1-2)-6-Deoxy-Beta-D-Glucopyranosyl)Oxy)-, Intramol. 1,3'''-Ester, (S)- |
|
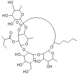
| 分子结构 |
 |
| 分子式 |
C45H78O20 |
| 分子量 |
939.10 |
| CAS 登录号 |
131747-24-5 |
| 分子行输入简码 SMILES |
C(C5C(C(C2C(OC1C(OC(C(C1O)O)C)OC(CCCCC)CCCCCCCCCC(OC3C(C(O2)OC(C3OC4C(C(O)C(C(O4)C)O)O)C)OC(=O)C(CC)C)=O)O5)O)O)O |
| 国际化学标识码 InChI |
1S/C45H78O20/c1-7-9-15-18-26-19-16-13-11-10-12-14-17-20-28(47)61-39-36(63-42-35(54)32(51)29(48)23(4)56-42)25(6)58-45(40(39)62-41(55)22(3)8-2)65-38-34(53)31(50)27(21-46)60-44(38)64-37-33(52)30(49)24(5)57-43(37)59-26/h22-27,29-40,42-46,48-54H,7-21H2,1-6H3 |
| 国际化学标识检索码 InChIKey |
QHKWTUIZHFKQCZ-UHFFFAOYSA-N |
|