Online Database of Chemicals from Around the World

N,N,N-三甲基-2,3-二[(9Z)-9-十八碳烯酰基氧基]-1-丙基氯化铵
[CAS# 132172-61-3]

供应商
Alfa Chemistry 美国 询价快递  
+1 (201) 478-8534
inquiry@alfa-chemistry.com
化学品供销商(2012 年起)
chemBlink 标准供应商(2012 年起)
Cayman Chemical Company 美国 询价快递  
+1 (734) 971-3335
sales@caymanchem.com
化学品生产商
Dalton Pharma Services 加拿大 询价快递  
+1 (416) 661-2102
chemist@dalton.com
化学品生产商
International Laboratory Limited 美国 询价快递  
+1 (650) 278-9963
admin@intlab.org
化学品生产商(2002 年起)
基本信息
产品名称 N,N,N-三甲基-2,3-二[(9Z)-9-十八碳烯酰基氧基]-1-丙基氯化铵
英文名 N,N,N-Trimethyl-2,3-Bis[(9Z)-9-Octadecenoyloxy]-1-Propanaminium Chloride
别名 "1,2-Dioleoyl-3-trimethylammoniumpropane (chloride)"; "1,2-dioleoyl-3-trimethylammoniumpropane, monochloride"; (2,3-Bis-octadec-9-enoyloxy-propyl)-trimethyl-ammonium
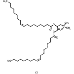
分子结构 CAS 登录号:132172-61-3, N,N,N-三甲基-2,3-二[(9Z)-9-十八碳烯酰基氧基]-1-丙基氯化铵
分子式 C42H80ClNO4
分子量 698.54
CAS 登录号 132172-61-3
分子行输入简码 SMILES CCCCCCCC/C=C\CCCCCCCC(=O)OCC(C[N+](C)(C)C)OC(=O)CCCCCCC/C=C\CCCCCCCC.[Cl-]
国际化学标识码 InChI 1S/C42H80NO4.ClH/c1-6-8-10-12-14-16-18-20-22-24-26-28-30-32-34-36-41(44)46-39-40(38-43(3,4)5)47-42(45)37-35-33-31-29-27-25-23-21-19-17-15-13-11-9-7-2;/h20-23,40H,6-19,24-39H2,1-5H3;1H/q+1;/p-1/b22-20-,23-21-;
国际化学标识检索码 InChIKey KSXTUUUQYQYKCR-LQDDAWAPSA-M
物理化学性质
折射率 (计算值)
安全数据
SDS 化学品安全技术说明书参考文本
市场分析报告
请浏览N,N,N-三甲基-2,3-二[(9Z)-9-十八碳烯酰基氧基]-1-丙基氯化铵市场分析报告总目录
相关产品
1-丁基-2-吡咯烷硫酮  N,N-二丁基丁烷硫代酰胺  4'-甲氧基-4-联苯胺盐酸盐(1:1)  3-乙基-N,N,4-三甲基-1H-吡咯-2-甲酰...  4-(3-甲氧基-3-氧代丙基)-3,5-二甲基-...  (1-13C)己糖醇  [(1R,2R,5R)-6,6-二甲基双环[3.1...  氨基(4-羟基-3-硝基苯基)乙酸  2-(1H-苯并咪唑-2-基甲氧基)苯甲酸甲酯  D-阿拉伯糖呋喃糖  (2R)-2-[(4Z,7Z,10Z,13Z,16...  2-氯-6-亚硝基苯酚  N-(4-氧代-2,5-环己二烯-1-亚基)甘氨酸  5-甲氧基-1,3-苯并恶唑  (2S)-2-甲基-2-哌啶甲酰胺