Online Database of Chemicals from Around the World

(6-氨基己酸(5-24),gamma-谷氨酰(2)-epsilon-赖氨酰(30))神经肽Y
[CAS# 133970-32-8]

供应商
CAS#: 133970-32-8
产品: (6-氨基己酸(5-24),gamma-谷氨酰(2)-epsilon-赖氨酰(30))神经肽Y
暂时没有厂家供应该产品。
基本信息
产品名称 (6-氨基己酸(5-24),gamma-谷氨酰(2)-epsilon-赖氨酰(30))神经肽Y
英文名 (6-Aminohexanoic Acid(5-24),gamma-Glutamyl(2)-epsilon-Lysyl(30))Neuropeptide Y
别名 (Ahx(5-24),Gamma-Glu(2)-Epsilon-Lys(30))Npy; L-Tyrosinamide, N2-(1-Oxo-6-((N2-(N-(N-L-Tyrosyl-L-Alpha-Glutamyl)-L-Seryl)-L-Lysyl)Amino)Hexyl)-L-Arginyl-L-Histidyl-L-Tyrosyl-L-Isoleucyl-L-Asparginyl-L-Lysyl-L-Isoleucyl-L-Threonyl-L-Arginyl-L-Glutaminyl-L-Arginyl; Neuropeptide Y, Ahx(5-24), Gamma-Glu(2)-Epsilon-Lys(30)-
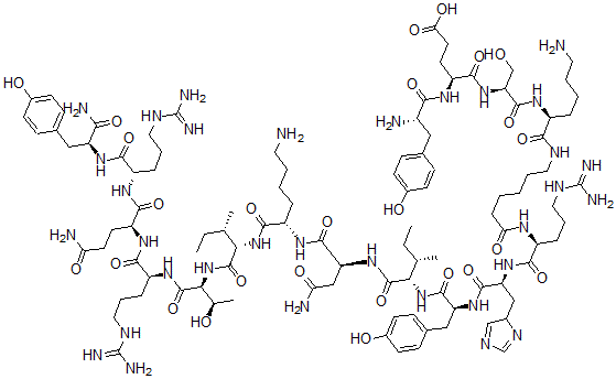
分子结构 CAS 登录号:133970-32-8, (6-氨基己酸(5-24),gamma-谷氨酰(2)-epsilon-赖氨酰(30))神经肽Y
分子式 C102H163N33O26
分子量 2267.62
CAS 登录号 133970-32-8
分子行输入简码 SMILES [C@H](C(=O)N)(NC([C@@H](NC([C@@H](NC([C@@H](NC([C@@H](NC([C@@H](NC([C@@H](NC([C@@H](NC([C@@H](NC([C@@H](NC([C@@H](NC([C@@H](NC(CCCCCNC([C@@H](NC([C@@H](NC([C@@H](NC([C@@H](N)CC1=CC=C(O)C=C1)=O)CCC(=O)O)=O)CO)=O)CCCCN)=O)=O)CCCNC(=N)N)=O)CC2C=NC=N2)=O)CC3=CC=C(O)C=C3)=O)[C@H](CC)C)=O)CC(=O)N)=O)CCCCN)=O)[C@H](CC)C)=O)[C@@H](C)O)=O)CCCNC(=N)N)=O)CCC(=O)N)=O)CCCNC(=N)N)=O)CC4=CC=C(O)C=C4
国际化学标识码 InChI 1S/C102H163N33O26/c1-6-54(3)81(97(159)131-75(50-78(107)142)94(156)125-67(19-11-13-41-104)92(154)133-82(55(4)7-2)98(160)135-83(56(5)137)99(161)127-69(22-17-45-119-102(113)114)88(150)126-70(36-38-77(106)141)90(152)124-68(21-16-44-118-101(111)112)89(151)128-72(84(108)146)47-58-26-32-62(139)33-27-58)134-95(157)73(48-59-28-34-63(140)35-29-59)129-93(155)74(49-60-51-115-53-120-60)130-87(149)66(20-15-43-117-100(109)110)121-79(143)23-9-8-14-42-116-86(148)65(18-10-12-40-103)123-96(158)76(52-136)132-91(153)71(37-39-80(144)145)122-85(147)64(105)46-57-24-30-61(138)31-25-57/h24-35,51,53-56,60,64-76,81-83,136-140H,6-23,36-50,52,103-105H2,1-5H3,(H2,106,141)(H2,107,142)(H2,108,146)(H,116,148)(H,121,143)(H,122,147)(H,123,158)(H,124,152)(H,125,156)(H,126,150)(H,127,161)(H,128,151)(H,129,155)(H,130,149)(H,131,159)(H,132,153)(H,133,154)(H,134,157)(H,135,160)(H,144,145)(H4,109,110,117)(H4,111,112,118)(H4,113,114,119)/t54-,55-,56+,60?,64-,65-,66-,67-,68-,69-,70-,71-,72-,73-,74-,75-,76-,81-,82-,83-/m0/s1
国际化学标识检索码 InChIKey QYCUUTYNWJZMLV-CDJQWVORSA-N
市场分析报告
请浏览(6-氨基己酸(5-24),gamma-谷氨酰(2)-epsilon-赖氨酰(30))神经肽Y市场分析报告总目录
相关产品
2,7-二氢-7-苯基-2-(苯基甲基)-5-丙氧...  埃斯波霉素P  1-[(膦酰氧基)甲基]乙烷-1,2-二基二[(9...  1-(4-氟苯基)-4-[4-(5-氟嘧啶-2-基...  4,7-二氟-5,6-二羟基色胺肌酐  [(6E,9E,12E,15E)-20-甲氧基-2...  [(6E,9E,12E,15E)-20-甲氧基-2...  4-氨基-5-膦酰庚酸  2'-脱氧胞苷酰-(5'-3')-胸苷酰-(5'-...  2-(1-金刚烷基)-1-(4-碘苯基)胍  1-(4-氨基苯基)-3-(环己基甲基)-3-氮杂...  2-(2,4-二甲氧基苯基)乙醇  3-羟基苯乙醇  N-(3-丁基-2-甲基-4-硝基苯基)氨基甲酸酯  1-(4,4,4-三氟-3-氧代-丁-1-烯基)-...