Online Database of Chemicals from Around the World

Propan-2-Yl (Z)-7-[(1R,2R,3R,5S)-3,5-Dihydroxy-2-[(E,3S)-3-Propanoyloxyoct-1-Enyl]Cyclopentyl]Hept-5-Enoate
[CAS# 134152-12-8]

Suppliers
CAS#: 134152-12-8
Product: Propan-2-Yl (Z)-7-[(1R,2R,3R,5S)-3,5-Dihydroxy-2-[(E,3S)-3-Propanoyloxyoct-1-Enyl]Cyclopentyl]Hept-5-Enoate
No suppilers available for the product.
Identification
Name Propan-2-Yl (Z)-7-[(1R,2R,3R,5S)-3,5-Dihydroxy-2-[(E,3S)-3-Propanoyloxyoct-1-Enyl]Cyclopentyl]Hept-5-Enoate
Synonyms Isopropyl (Z)-7-[(1R,2R,3R,5S)-3,5-Dihydroxy-2-[(E,3S)-3-Propanoyloxyoct-1-Enyl]Cyclopentyl]Hept-5-Enoate; (Z)-7-[(1R,2R,3R,5S)-3,5-Dihydroxy-2-[(E,3S)-3-(1-Oxopropoxy)Oct-1-Enyl]Cyclopentyl]Hept-5-Enoic Acid Isopropyl Ester; (Z)-7-[(1R,2R,3R,5S)-3,5-Dihydroxy-2-[(E,3S)-3-Propionyloxyoct-1-Enyl]Cyclopentyl]Hept-5-Enoic Acid Isopropyl Ester
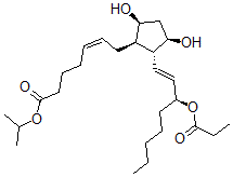
Molecular Structure CAS#: 134152-12-8, Propan-2-Yl (Z)-7-[(1R,2R,3R,5S)-3,5-Dihydroxy-2-[(E,3S)-3-Propanoyloxyoct-1-Enyl]Cyclopentyl]Hept-5-Enoate
Molecular Formula C26H44O6
Molecular Weight 452.63
CAS Registry Number 134152-12-8
SMILES [C@H]1([C@H]([C@@H](O)C[C@H]1O)C\C=C/CCCC(OC(C)C)=O)\C=C\[C@@H](OC(=O)CC)CCCCC
InChI 1S/C26H44O6/c1-5-7-10-13-20(32-25(29)6-2)16-17-22-21(23(27)18-24(22)28)14-11-8-9-12-15-26(30)31-19(3)4/h8,11,16-17,19-24,27-28H,5-7,9-10,12-15,18H2,1-4H3/b11-8-,17-16+/t20-,21+,22+,23-,24+/m0/s1
InChIKey AVURBUBODITDLQ-GNHNHSQOSA-N
Properties
Density 1.074g/cm3 (Cal.)
Boiling point 541.707°C at 760 mmHg (Cal.)
Flash point 167.403°C (Cal.)
Market Analysis Reports
List of Reports Available for Propan-2-Yl (Z)-7-[(1R,2R,3R,5S)-3,5-Dihydroxy-2-[(E,3S)-3-Propanoyloxyoct-1-Enyl]Cyclopentyl]Hept-5-Enoate
Related Products
2,6-Difluorophenyl-N-Tert-Butylnitrone  (2S)-2-Amino-N-[(2S)-1-[[(2S)-1-[[2-[[(2...  2-(Carboxymethyl-(3-Sulfopropyl)Amino)Ac...  Acetylcholine Receptor alpha-Subunit (12...  (2-Hexanoyloxy-3-Hexanoylsulfanylpropyl)...  4-Amino-2-[4,6-Diamino-3-[6-(Aminomethyl...  N-Cyclopropylmethyl-4,14-Dimethoxymorphi...  N-Cyclopropylmethyl-4-Hydroxy-14-Methoxy...  3-(2-Methoxyethyl)-2-[2-[[3-(2-Methoxyet...  8-(Phenylsulfonylamino)-7-Pyridin-3-Yloc...  4-Methyl-5-Nitrothiazole-2(3H)-Thione  1-Ethylnaphtho[1,2-d]Thiazole-2(1H)-Thio...  (2S-(2alpha,11abeta,11bbeta))-Hexahydro-...  1,4-Bis(2,3-Epoxypropoxy)But-2-Ene  N-[3-(Dimethylamino)Propyl]Heptadecafluo...