Online Database of Chemicals from Around the World

Methyl 2-(3,5-Dihydroxy-4-Methoxy-6-Methyloxan-2-Yl)-2-[10-[4-Dimethylamino-5-(5-Hydroxy-4-Methoxy-6-Methyloxan-2-Yl)Oxy-4,6-Dimethyloxan-2-Yl]-2-(2,3-Dimethyloxiran-2-Yl)-11-Hydroxy-4,7,12-Trioxonaphtho[2,3-h]Chromen-5-Yl]Acetate
[CAS# 134887-78-8]

Suppliers
CAS#: 134887-78-8
Product: Methyl 2-(3,5-Dihydroxy-4-Methoxy-6-Methyloxan-2-Yl)-2-[10-[4-Dimethylamino-5-(5-Hydroxy-4-Methoxy-6-Methyloxan-2-Yl)Oxy-4,6-Dimethyloxan-2-Yl]-2-(2,3-Dimethyloxiran-2-Yl)-11-Hydroxy-4,7,12-Trioxonaphtho[2,3-h]Chromen-5-Yl]Acetate
No suppilers available for the product.
Identification
Name Methyl 2-(3,5-Dihydroxy-4-Methoxy-6-Methyloxan-2-Yl)-2-[10-[4-Dimethylamino-5-(5-Hydroxy-4-Methoxy-6-Methyloxan-2-Yl)Oxy-4,6-Dimethyloxan-2-Yl]-2-(2,3-Dimethyloxiran-2-Yl)-11-Hydroxy-4,7,12-Trioxonaphtho[2,3-h]Chromen-5-Yl]Acetate
Synonyms Methyl 2-(3,5-Dihydroxy-4-Methoxy-6-Methyl-Tetrahydropyran-2-Yl)-2-[10-[4-Dimethylamino-5-(5-Hydroxy-4-Methoxy-6-Methyl-Tetrahydropyran-2-Yl)Oxy-4,6-Dimethyl-Tetrahydropyran-2-Yl]-2-(2,3-Dimethyloxiran-2-Yl)-11-Hydroxy-4,7,12-Trioxo-Naphtho[2,3-H]Chromen-5-Yl]Acetate; 2-(3,5-Dihydroxy-4-Methoxy-6-Methyl-2-Tetrahydropyranyl)-2-[10-[4-Dimethylamino-5-[(5-Hydroxy-4-Methoxy-6-Methyl-2-Tetrahydropyranyl)Oxy]-4,6-Dimethyl-2-Tetrahydropyranyl]-2-(2,3-Dimethyl-2-Oxiranyl)-11-Hydroxy-4,7,12-Trioxo-5-Naphtho[2,3-H]Chromenyl]Acetic Acid Methyl Ester; 2-(3,5-Dihydroxy-4-Methoxy-6-Methyl-Tetrahydropyran-2-Yl)-2-[10-[4-Dimethylamino-5-(5-Hydroxy-4-Methoxy-6-Methyl-Tetrahydropyran-2-Yl)Oxy-4,6-Dimethyl-Tetrahydropyran-2-Yl]-2-(2,3-Dimethyloxiran-2-Yl)-11-Hydroxy-4,7,12-Triketo-Naphtho[2,3-H]Chromen-5-Yl]Acetic Acid Methyl Ester
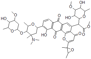
Molecular Structure CAS#: 134887-78-8, Methyl 2-(3,5-Dihydroxy-4-Methoxy-6-Methyloxan-2-Yl)-2-[10-[4-Dimethylamino-5-(5-Hydroxy-4-Methoxy-6-Methyloxan-2-Yl)Oxy-4,6-Dimethyloxan-2-Yl]-2-(2,3-Dimethyloxiran-2-Yl)-11-Hydroxy-4,7,12-Trioxonaphtho[2,3-h]Chromen-5-Yl]Acetate
Molecular Formula C47H59NO17
Molecular Weight 909.98
CAS Registry Number 134887-78-8
SMILES C1=C(C6=C(C2=C1C(=O)C5=C(C2=O)C(=C(C3CC(N(C)C)(C)C(C(O3)C)OC4OC(C(O)C(C4)OC)C)C=C5)O)OC(=CC6=O)C7(OC7C)C)C(C8OC(C(O)C(C8O)OC)C)C(=O)OC
InChI 1S/C47H59NO17/c1-18-35(50)27(57-9)16-30(61-18)64-44-20(3)60-28(17-46(44,5)48(7)8)22-12-13-23-32(38(22)53)39(54)33-25(37(23)52)14-24(31-26(49)15-29(63-41(31)33)47(6)21(4)65-47)34(45(56)59-11)42-40(55)43(58-10)36(51)19(2)62-42/h12-15,18-21,27-28,30,34-36,40,42-44,50-51,53,55H,16-17H2,1-11H3
InChIKey GCSUFJBMYLHGSO-UHFFFAOYSA-N
Properties
Density 1.429g/cm3 (Cal.)
Boiling point 986.947°C at 760 mmHg (Cal.)
Flash point 550.686°C (Cal.)
Market Analysis Reports
List of Reports Available for Methyl 2-(3,5-Dihydroxy-4-Methoxy-6-Methyloxan-2-Yl)-2-[10-[4-Dimethylamino-5-(5-Hydroxy-4-Methoxy-6-Methyloxan-2-Yl)Oxy-4,6-Dimethyloxan-2-Yl]-2-(2,3-Dimethyloxiran-2-Yl)-11-Hydroxy-4,7,12-Trioxonaphtho[2,3-h]Chromen-5-Yl]Acetate
Related Products
Methyl 2-[10-[4-Amino-5-(5-Hydroxy-4-Met...  5-Methyl-4-[[4-(Trifluoromethyl)Phenyl]C...  4-[7-[4-(4-Carboxy-3-Methoxy-2,5,6-Trime...  9-[(2R,3R,5S)-3-Fluoro-5-(Hydroxymethyl)...  (2S,3R,4S,5R)-2-[6-Amino-8-(2-Hydroxypro...  Tetrahydroaldosterone  Bis(6-aminoquinoline)dichloroplatinum(II...  3-Hydroxyundecanoic acid polymer with 3-...  1-Ethyl-6-Methoxy-2H-Quinoline  1-Ethyl-6-Methoxyquinolin-1-Ium Chloride  Methyl (1R,2R,4S)-4-[(2R,4S,5S,6S)-4-Dim...  2,5-Dihydroxy-3-Methyl-6-[(S)-1,2,2-Trim...  [(3S,4R)-4-Methyl-2-[(4R,5R)-2,2,5-Trime...  Sodium [7-Hydroxy-10,13-Dimethyl-17-(6-M...  3-(Hexahydro-1H-Azepin-1-Yl)-3'-Nitropro...