Online Database of Chemicals from Around the World

Cyclo(L-Arginyl-L-Leucyl-L-Asparaginyl-L-Threonyl-L-Seryl-L-Phenylalanyl-L-Threonyl-L-Prolyl)
[CAS# 135329-52-1]

Identification
Name Cyclo(L-Arginyl-L-Leucyl-L-Asparaginyl-L-Threonyl-L-Seryl-L-Phenylalanyl-L-Threonyl-L-Prolyl)
Synonyms (2S)-2-[[(2S)-2-[[(2S)-2-Amino-5-Guanidino-Pentanoyl]Amino]-4-Methyl-Pentanoyl]Amino]-N-[(1S,2R)-1-[[(1S)-1-Formyl-2-[[(1S)-2-[[(1S,2R)-1-[(2S)-2-Formylpyrrolidine-1-Carbonyl]-2-Hydroxy-Propyl]Amino]-2-Oxo-1-(Phenylmethyl)Ethyl]Amino]-2-Oxo-Ethyl]Carbamoyl]-2-Hydroxy-Propyl]Butanediamide; (2S)-2-[[(2S)-2-[[(2S)-2-Amino-5-Guanidino-1-Oxopentyl]Amino]-4-Methyl-1-Oxopentyl]Amino]-N-[(1S,2R)-1-[[[(1S)-1-Formyl-2-[[(1S)-2-[[(1S,2R)-1-[[(2S)-2-Formyl-1-Pyrrolidinyl]-Oxomethyl]-2-Hydroxypropyl]Amino]-2-Oxo-1-(Phenylmethyl)Ethyl]Amino]-2-Oxoethyl]Amino]-Oxomethyl]-2-Hydroxypropyl]Butanediamide; (2S)-2-[[(2S)-2-[[(2S)-2-Amino-5-Guanidino-Pentanoyl]Amino]-4-Methyl-Pentanoyl]Amino]-N-[(1S,2R)-1-[[(1S)-2-[[(1S)-1-(Benzyl)-2-[[(1S,2R)-1-[(2S)-2-Formylpyrrolidine-1-Carbonyl]-2-Hydroxy-Propyl]Amino]-2-Keto-Ethyl]Amino]-1-Formyl-2-Keto-Ethyl]Carbamoyl]-2-Hydroxy-Propyl]Succinamide
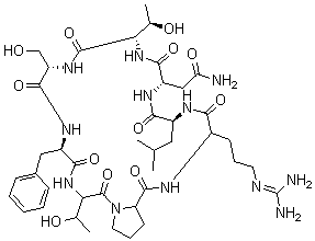
Molecular Structure CAS#: 135329-52-1, Cyclo(L-Arginyl-L-Leucyl-L-Asparaginyl-L-Threonyl-L-Seryl-L-Phenylalanyl-L-Threonyl-L-Prolyl)
Molecular Formula C41H64N12O12
Molecular Weight 917.03
CAS Registry Number 135329-52-1
SMILES [C@@H]1(N(CCC1)C(=O)[C@@H](NC(=O)[C@@H](NC(=O)[C@@H](NC(=O)[C@@H](NC(=O)[C@@H](NC(=O)[C@@H](NC(=O)[C@@H](N)CCCN=C(N)N)CC(C)C)CC(=O)N)[C@H](O)C)C=O)CC2=CC=CC=C2)[C@H](O)C)C=O
InChI 1S/C41H64N12O12/c1-21(2)16-27(47-34(59)26(42)13-8-14-46-41(44)45)35(60)49-29(18-31(43)58)37(62)51-32(22(3)56)39(64)50-30(20-55)38(63)48-28(17-24-10-6-5-7-11-24)36(61)52-33(23(4)57)40(65)53-15-9-12-25(53)19-54/h5-7,10-11,19-23,25-30,32-33,56-57H,8-9,12-18,42H2,1-4H3,(H2,43,58)(H,47,59)(H,48,63)(H,49,60)(H,50,64)(H,51,62)(H,52,61)(H4,44,45,46)/t22-,23-,25+,26+,27+,28+,29+,30+,32+,33+/m1/s1
InChIKey XJEDHMKXUIQJEP-SIDKUONNSA-N
Properties
Density 1.461g/cm3 (Cal.)
Market Analysis Reports
List of Reports Available for Cyclo(L-Arginyl-L-Leucyl-L-Asparaginyl-L-Threonyl-L-Seryl-L-Phenylalanyl-L-Threonyl-L-Prolyl)
Related Products
4-(Ethyl(2-Hydroxyethyl)Amino)-Benzenedi...  2-Propenoic Acid (9Z)-9-Octadecen-1-Yl E...  4-Methoxy-N-(2-Thienylmethylene)-Benzena...  N-[2-(Acetyloxy)Ethyl]-N-Phenyl-Acetamid...  Lanthanum Bromide  (T-4)-Difluorodioxo-Uranium  Hydrogen Sulfide (D2S)  Perchloric Acid Chromium Salt (3:1)  Perchloric Acid Iron Salt (3:1)  4-Methyl-2-Oxo-Cyclohexanecarboxylicacid...  (2E,4E,6Z,8E,10E,12R,13R,14E,16S)-13-Hyd...  6-Amino-2-Pyridinecarboxamide  3-Bromo-Phenol 1-(N-Methylcarbamate)  2,5-Bis(Dodecyldithio)-1,3,4-Thiadiazole  5-(Dimethylamino)-9-Methyl-2-Propyl-1H-P...