Online Database of Chemicals from Around the World

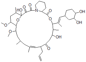
31-O-Demethyl-FK506
[CAS# 135635-47-1]

Suppliers
CAS#: 135635-47-1
Product: 31-O-Demethyl-FK506
No suppilers available for the product.
Identification
Name 31-O-Demethyl-FK506
Synonyms 31-O-Demethyl-Fk506; 15,19-Epoxy-3H-Pyrido(2,1-C)(1,4)Oxaazacyclotricosine-1,7,20,21(4H,23H)-Tetrone, 3-(2-(3,4-Dihydroxycyclohexyl)-1-Methylethenyl)- 5,6,8,11,12,13,14,15,16,17,18,19,24,25,26,26A-Hexadecahydro-5,19-Dihydroxy-14,16-Dimethoxy-4,10,12,18-Tetramethyl-8-(2-Propenyl)-
Molecular Structure CAS#: 135635-47-1, 31-O-Demethyl-FK506
Molecular Formula C43H67NO12
Molecular Weight 790.00
CAS Registry Number 135635-47-1
SMILES C(C2\C=C(CC(CC(OC)C4OC(C(C(N1CCCCC1C(OC(C(C(CC2=O)O)C)C(/C)=C/C3CCC(O)C(O)C3)=O)=O)=O)(O)C(CC4OC)C)C)/C)C=C
InChI 1S/C43H67NO12/c1-9-12-30-18-24(2)17-25(3)19-36(53-7)39-37(54-8)21-27(5)43(52,56-39)40(49)41(50)44-16-11-10-13-31(44)42(51)55-38(28(6)33(46)23-34(30)47)26(4)20-29-14-15-32(45)35(48)22-29/h9,18,20,25,27-33,35-39,45-46,48,52H,1,10-17,19,21-23H2,2-8H3/b24-18+,26-20+
InChIKey VHOPGJHKSPGXIZ-AMASXYNMSA-N
Market Analysis Reports
List of Reports Available for 31-O-Demethyl-FK506
Related Products
1,3,7-Trihydroxy-8-Methoxy-3-Methyl-1,2,...  1,3-Dihydroxy-8-Methoxy-3-Methyl-2,4-Dih...  (11alpha,12beta,16alpha)-13-(Acetyloxy)-...  6-Oxabenz(3,4)-D-Homoestra-1,3,5(10),8,1...  3,4,5,13-Tetrahydro-3H-2-Benzothieno(5,4...  4-Fluoro-4'-Methylchalcone  Bismuth Molybdate  Zirconium Pyrophosphate  Yttrium vanadium oxide  Zinc Dimetaphosphate  Trimetaphosphoric Acid  N,N'-Dimethyl-2-Methylmalondiamide  (2R)-2-(Tert-Butylsulfonylmethyl)-N-[(2S...  beta-Amanitin  [3R-(3alpha,3abeta,6alpha,7beta,8aalpha)...