Online Database of Chemicals from Around the World

(5E,9E,14E)-11-[(2R)-2-氨基-3-(羧甲基氨基)-3-氧代丙基]硫基-8,12-二羟基二十碳-5,9,14-三烯酸
[CAS# 135819-58-8]

供应商
CAS#: 135819-58-8
产品: (5E,9E,14E)-11-[(2R)-2-氨基-3-(羧甲基氨基)-3-氧代丙基]硫基-8,12-二羟基二十碳-5,9,14-三烯酸
暂时没有厂家供应该产品。
基本信息
产品名称 (5E,9E,14E)-11-[(2R)-2-氨基-3-(羧甲基氨基)-3-氧代丙基]硫基-8,12-二羟基二十碳-5,9,14-三烯酸
英文名 (5E,9E,14E)-11-[(2R)-2-Amino-3-(Carboxymethylamino)-3-Oxopropyl]Sulfanyl-8,12-Dihydroxyicosa-5,9,14-Trienoic Acid
别名 (5E,9E,14E)-11-[(2R)-2-Amino-3-(Carboxymethylamino)-3-Oxo-Propyl]Sulfanyl-8,12-Dihydroxy-Icosa-5,9,14-Trienoic Acid; (5E,9E,14E)-11-[[(2R)-2-Amino-3-(Carboxymethylamino)-3-Oxopropyl]Thio]-8,12-Dihydroxyicosa-5,9,14-Trienoic Acid; 2-[[(2R)-2-Amino-3-[[(2E,6E)-4,11-Dihydroxy-1-[(E)-1-Hydroxynon-3-Enyl]-11-Keto-Undeca-2,6-Dienyl]Thio]Propanoyl]Amino]Acetic Acid
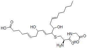
分子结构 CAS 登录号:135819-58-8, (5E,9E,14E)-11-[(2R)-2-氨基-3-(羧甲基氨基)-3-氧代丙基]硫基-8,12-二羟基二十碳-5,9,14-三烯酸
分子式 C25H42N2O7S
分子量 514.68
CAS 登录号 135819-58-8
分子行输入简码 SMILES [C@H](N)(CSC(C(O)C\C=C\CCCCC)\C=C\C(O)C\C=C\CCCC(=O)O)C(=O)NCC(=O)O
国际化学标识码 InChI 1S/C25H42N2O7S/c1-2-3-4-5-6-10-13-21(29)22(35-18-20(26)25(34)27-17-24(32)33)16-15-19(28)12-9-7-8-11-14-23(30)31/h6-7,9-10,15-16,19-22,28-29H,2-5,8,11-14,17-18,26H2,1H3,(H,27,34)(H,30,31)(H,32,33)/b9-7+,10-6+,16-15+/t19?,20-,21?,22?/m0/s1
国际化学标识检索码 InChIKey BIWALBLSFARGON-GHTRGEPCSA-N
物理化学性质
密度 1.193g/cm3 (计算值)
沸点 809.613°C at 760 mmHg (计算值)
闪点 443.438°C (计算值)
市场分析报告
相关产品
5-氨基-3-(羧甲基)-4-...  5-氨基-3-(羧甲基)-4-...  (1R,3R)-1-氨基-3-...  (1S,3S)-1-氨基-3-...  (1S,3R)-1-氨基-3-...  (1R,3S)-1-氨基-3-...  (1S,3R)-1-氨基-3-...  (1S,3R)-1-氨基-3-...  (5S,7E,9E,11Z,1...  (5S,7E,9E,11Z)-...  (2S)-2-氨基-3-(羧基...  2-氨基-3-(2-羧基乙基硫...  2-氨基-3-(2-氧代-1,...  2-氨基-3-(2-氧代-1,...  4-氨基-3-(异丙基)苯酚  4-氨基-3-(4-乙基-1,...  7-氨基-3-(乙基氨基)-2...  7-氨基-3-(乙基氨基)-2...  2-氨基-3-(乙基氨基甲酰)...  2-氨基-3-(乙硫基)丁酸