Online Database of Chemicals from Around the World

环(5-羟基色氨酰-5-羟基色氨酰)
[CAS# 136004-14-3]

供应商
Achemica 瑞士 询价快递  
+41 (24) 466-2929
contact@achemica.com
化学品生产商(2010 年起)
基本信息
产品名称 环(5-羟基色氨酰-5-羟基色氨酰)
英文名 Cyclo(5-Hydroxytryptophyl-5-Hydroxytryptophyl)
别名 (3S,6S)-3,6-Bis[(5-Hydroxy-1H-Indol-3-Yl)Methyl]Piperazine-2,5-Quinone; Cht-Cht; Cyclo(5(Oh)-Trp-5(Oh)-Trp)
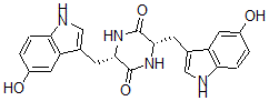
分子结构 CAS 登录号:136004-14-3, 环(5-羟基色氨酰-5-羟基色氨酰)
分子式 C22H20N4O4
分子量 404.42
CAS 登录号 136004-14-3
分子行输入简码 SMILES [C@H]1(NC(=O)[C@@H](NC1=O)CC2=C[NH]C3=C2C=C(O)C=C3)CC4=C[NH]C5=C4C=C(O)C=C5
国际化学标识码 InChI 1S/C22H20N4O4/c27-13-1-3-17-15(7-13)11(9-23-17)5-19-21(29)26-20(22(30)25-19)6-12-10-24-18-4-2-14(28)8-16(12)18/h1-4,7-10,19-20,23-24,27-28H,5-6H2,(H,25,30)(H,26,29)/t19-,20-/m0/s1
国际化学标识检索码 InChIKey HASWNCHYBAFUSB-PMACEKPBSA-N
物理化学性质
密度 1.499g/cm3 (计算值)
沸点 933.453°C at 760 mmHg (计算值)
闪点 518.334°C (计算值)
市场分析报告
请浏览环(5-羟基色氨酰-5-羟基色氨酰)市场分析报告总目录
相关产品
铜亚铁氰化物  1,3-二氯-1,1,2,3,3-五氟-丙烷  1,2-二氯丁-2-烯  2-羟基异烟酸N-氧化物  4'-氨基甲酰吡哆胺5'-磷酸酯  紫藤皂苷G  3-甲基亚硝基哌啶  3-丙基哌啶  奈索帕米  紫藤皂苷D  (4-甲基苯基)-1,2-乙二醇  N-[(2R,3R,4R,5S,6R)-2-[(2...  5-氯-4-硫代-1H-喹啉-2-羧酸  辛基二砜  (2R)-1-[(2S)-2-[[(2R)-5-氨...