Online Database of Chemicals from Around the World

(2E)-N-[3-[4-(2-氨基乙基)-2-溴苯氧基]丙基]-3-(3,5-二溴-4-甲氧基苯基)-2-羟基亚胺丙酰胺
[CAS# 136685-30-8]

供应商
CAS#: 136685-30-8
产品: (2E)-N-[3-[4-(2-氨基乙基)-2-溴苯氧基]丙基]-3-(3,5-二溴-4-甲氧基苯基)-2-羟基亚胺丙酰胺
暂时没有厂家供应该产品。
基本信息
产品名称 (2E)-N-[3-[4-(2-氨基乙基)-2-溴苯氧基]丙基]-3-(3,5-二溴-4-甲氧基苯基)-2-羟基亚胺丙酰胺
英文名 (2E)-N-[3-[4-(2-Aminoethyl)-2-Bromophenoxy]Propyl]-3-(3,5-Dibromo-4-Methoxyphenyl)-2-Hydroxyiminopropanamide
别名 (2E)-N-[3-[4-(2-Aminoethyl)-2-Bromo-Phenoxy]Propyl]-3-(3,5-Dibromo-4-Methoxy-Phenyl)-2-Hydroxyimino-Propanamide; (2E)-N-[3-[4-(2-Aminoethyl)-2-Bromo-Phenoxy]Propyl]-3-(3,5-Dibromo-4-Methoxy-Phenyl)-2-Hydroximino-Propionamide; 14-Debromoprearaplysillin I
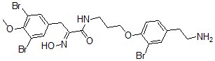
分子结构 CAS 登录号:136685-30-8, (2E)-N-[3-[4-(2-氨基乙基)-2-溴苯氧基]丙基]-3-(3,5-二溴-4-甲氧基苯基)-2-羟基亚胺丙酰胺
分子式 C21H24Br3N3O4
分子量 622.15
CAS 登录号 136685-30-8
分子行输入简码 SMILES C1=C(C=C(Br)C(=C1Br)OC)C\C(=N/O)C(=O)NCCCOC2=CC=C(C=C2Br)CCN
国际化学标识码 InChI 1S/C21H24Br3N3O4/c1-30-20-16(23)10-14(11-17(20)24)12-18(27-29)21(28)26-7-2-8-31-19-4-3-13(5-6-25)9-15(19)22/h3-4,9-11,29H,2,5-8,12,25H2,1H3,(H,26,28)/b27-18+
国际化学标识检索码 InChIKey DJJKDYYBOSZKDA-OVVQPSECSA-N
物理化学性质
密度 1.709g/cm3 (计算值)
市场分析报告
请浏览(2E)-N-[3-[4-(2-氨基乙基)-2-溴苯氧基]丙基]-3-(3,5-二溴-4-甲氧基苯基)-2-羟基亚胺丙酰胺市场分析报告总目录
相关产品
环戊烯-3-甲醇  2-甲基-2-[[(2S)-4-甲基-2-[[2-...  L-赖氨酰-L-缬氨酰-L-alpha-谷氨酰-L...  4-(乙硫基)吡啶  (5S,6Z,8E,10E,14Z)-5-羟基-1...  三氟(磷酸)三氢硼酸  1-(2-(4-((5-氟-1H-吲哚-3-基)甲...  注射用水  2-(4,5-二氢-1,3-恶唑-2-基)丙-1-...  5-[(2S)-2-甲基氨基丙基]苯-1,2,4-...  5-(2-氨基丙基)苯-1,2,4-三醇  6-[(2S)-2-甲基氨基丙基]-1,3-苯并二...  [2-甲基-2-(吡啶-3-羰基氧基甲基)戊基]吡...  (2E,4E)-5-(1,3-苯并二氧戊环-5-基...  1-环丁基-7-二甲基氨基-1-羟基-1-苯基庚-...