Online Database of Chemicals from Around the World

Parathyroid hormone (68-84)
[CAS# 137593-42-1]

Suppliers
CAS#: 137593-42-1
Product: Parathyroid hormone (68-84)
No suppilers available for the product.
Identification
Name Parathyroid hormone (68-84)
Synonyms L-Glutamine, Glycyl-L-Alpha-Glutamyl-L-Alanyl-L-Alpha-Aspartyl-L-Lysyl-L-Alanyl-L-Alpha-Aspartyl-L-Valyl-L-Alpha-Aspartyl-L-Valyl-L-Leucyl-L-Isoleucyl-L-Lysyl-L-Alanyl-L-Lysyl-L-Prolyl-; Parathyroid Hormone (68-84)
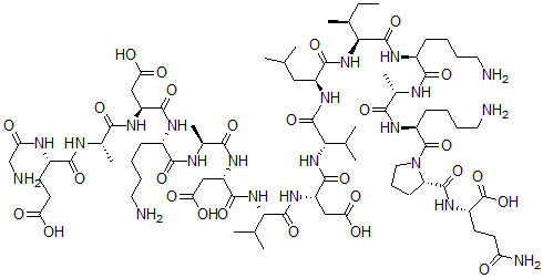
Molecular Structure CAS#: 137593-42-1, Parathyroid hormone (68-84)
Molecular Formula C78H133N21O27
Molecular Weight 1797.03
CAS Registry Number 137593-42-1
SMILES [C@H](C(=O)O)(NC([C@H]1N(CCC1)C([C@@H](NC([C@@H](NC([C@@H](NC([C@@H](NC([C@@H](NC([C@@H](NC([C@@H](NC([C@@H](NC([C@@H](NC([C@@H](NC([C@@H](NC([C@@H](NC([C@@H](NC([C@@H](NC(CN)=O)CCC(=O)O)=O)C)=O)CC(=O)O)=O)CCCCN)=O)C)=O)CC(=O)O)=O)C(C)C)=O)CC(=O)O)=O)C(C)C)=O)CC(C)C)=O)[C@H](CC)C)=O)CCCCN)=O)C)=O)CCCCN)=O)=O)CCC(=O)N
InChI 1S/C78H133N21O27/c1-12-40(8)62(76(123)89-45(21-14-17-29-80)67(114)84-41(9)63(110)90-47(22-15-18-30-81)77(124)99-31-19-23-53(99)73(120)91-48(78(125)126)24-26-54(83)100)98-70(117)49(32-37(2)3)94-74(121)60(38(4)5)97-72(119)52(35-59(108)109)95-75(122)61(39(6)7)96-71(118)51(34-58(106)107)93-65(112)42(10)85-66(113)44(20-13-16-28-79)88-69(116)50(33-57(104)105)92-64(111)43(11)86-68(115)46(25-27-56(102)103)87-55(101)36-82/h37-53,60-62H,12-36,79-82H2,1-11H3,(H2,83,100)(H,84,114)(H,85,113)(H,86,115)(H,87,101)(H,88,116)(H,89,123)(H,90,110)(H,91,120)(H,92,111)(H,93,112)(H,94,121)(H,95,122)(H,96,118)(H,97,119)(H,98,117)(H,102,103)(H,104,105)(H,106,107)(H,108,109)(H,125,126)/t40-,41-,42-,43-,44-,45-,46-,47-,48-,49-,50-,51-,52-,53-,60-,61-,62-/m0/s1
InChIKey BFSZEHNWSVDHQC-JHVNXZIDSA-N
Market Analysis Reports
List of Reports Available for Parathyroid hormone (68-84)
Related Products
(2S)-5-[[(2R)-1-(Carboxymethylamino)-1-O...  Isoleucyl-histidyl-leucyl-valyl-prolyl-c...  (2S,5R,6R)-3,3-Dimethyl-6-[[(E)-Oct-3-En...  L-Lysylglycyl-L-alpha-Glutamyl-L-Lysyl-L...  3-Phenyl-5,6-Benzocoumarin  Ytterbium Phosphate  Europium (III) Bromide  Europium Triiodide  Tetrathionic Acid  Cadmium Perchlorate, Dehydrated  1,11-Dibromo-12,13-Dihydro-12-(4-O-Methy...  (2R,3R,4S,5S,6R)-2-[[4-[(E)-3-Hydroxybut...  (4R)-2-Amino-4-Hydroxy-9-[(4S,5R)-4-Hydr...  1-Benzyl-2-Chloropyridinium  6-(4-Methoxyphenyl)-2,4-diphenylverdazyl