Online Database of Chemicals from Around the World

4-氨基-2-[4,6-二氨基-3-[6-(氨基甲基)-4-氯-3,5-二羟基四氢吡喃-2-基]氧基-2-羟基环己基]氧基-6-(羟基甲基)四氢吡喃-3,5-二醇
[CAS# 139978-80-6]

供应商
Achemica 瑞士 询价快递  
+41 (24) 466-2929
contact@achemica.com
化学品生产商(2010 年起)
基本信息
产品名称 4-氨基-2-[4,6-二氨基-3-[6-(氨基甲基)-4-氯-3,5-二羟基四氢吡喃-2-基]氧基-2-羟基环己基]氧基-6-(羟基甲基)四氢吡喃-3,5-二醇
英文名 4-Amino-2-[4,6-Diamino-3-[6-(Aminomethyl)-4-Chloro-3,5-Dihydroxyoxan-2-Yl]Oxy-2-Hydroxycyclohexyl]Oxy-6-(Hydroxymethyl)Oxane-3,5-Diol
别名 4-Amino-2-[4,6-Diamino-3-[6-(Aminomethyl)-4-Chloro-3,5-Dihydroxy-Tetrahydropyran-2-Yl]Oxy-2-Hydroxy-Cyclohexoxy]-6-(Hydroxymethyl)Tetrahydropyran-3,5-Diol; 4-Amino-2-[4,6-Diamino-3-[[6-(Aminomethyl)-4-Chloro-3,5-Dihydroxy-2-Tetrahydropyranyl]Oxy]-2-Hydroxycyclohexoxy]-6-(Hydroxymethyl)Tetrahydropyran-3,5-Diol; 4-Amino-2-[4,6-Diamino-3-[6-(Aminomethyl)-4-Chloro-3,5-Dihydroxy-Tetrahydropyran-2-Yl]Oxy-2-Hydroxy-Cyclohexoxy]-6-Methylol-Tetrahydropyran-3,5-Diol
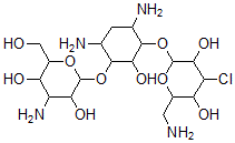
分子结构 CAS 登录号:139978-80-6, 4-氨基-2-[4,6-二氨基-3-[6-(氨基甲基)-4-氯-3,5-二羟基四氢吡喃-2-基]氧基-2-羟基环己基]氧基-6-(羟基甲基)四氢吡喃-3,5-二醇
分子式 C18H35ClN4O10
分子量 502.95
CAS 登录号 139978-80-6
分子行输入简码 SMILES C(N)C3OC(OC2C(O)C(OC1OC(C(O)C(N)C1O)CO)C(N)CC2N)C(O)C(Cl)C3O
国际化学标识码 InChI 1S/C18H35ClN4O10/c19-8-10(25)6(2-20)30-17(12(8)27)32-15-4(21)1-5(22)16(14(15)29)33-18-13(28)9(23)11(26)7(3-24)31-18/h4-18,24-29H,1-3,20-23H2
国际化学标识检索码 InChIKey QAEUOFZUFKQKED-UHFFFAOYSA-N
物理化学性质
密度 1.614g/cm3 (计算值)
沸点 833.934°C at 760 mmHg (计算值)
闪点 458.147°C (计算值)
市场分析报告
请浏览4-氨基-2-[4,6-二氨基-3-[6-(氨基甲基)-4-氯-3,5-二羟基四氢吡喃-2-基]氧基-2-羟基环己基]氧基-6-(羟基甲基)四氢吡喃-3,5-二醇市场分析报告总目录
相关产品
[2-[2-[2-[[6-氨基...  [2-[2-[2-[[6-氨基...  7-氨基-2-[3-二甲基氨基...  7-氨基-2-[3-二甲基氨基...  1-氨基-2-[4-(1,1,...  3-氨基-2-[4-(三氟甲基...  3-氨基-2-[4-(三氟甲氧...  4-氨基-2-[4,6-二氨基...  4-氨基-2-[4,6-二氨基...  4-氨基-2-[4,6-二氨基...  1-氨基-2-[4-[[4-(...  2-[[2-氨基-2-[5-(...  2-[[2-氨基-2-[5-(...  (2R,3S,4R,5S,6R...  3-氨基-2-[3-氨基-6-...  3-氨基-2-[3-氨基-6-...  (2S)-4-氨基-2-[二[...  1-氨基-2-[P-[(六氢-...  7-氨基-2-{[(2-甲基-...  3-氨基-2-{[(2-羟基乙...