Online Database of Chemicals from Around the World

分枝杆菌素
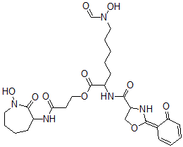
[CAS# 1400-46-0]

供应商
CAS#: 1400-46-0
产品: 分枝杆菌素
暂时没有厂家供应该产品。
基本信息
产品名称 分枝杆菌素
英文名 Mycobactin
别名 [3-[(1-Hydroxy-2-Oxo-Azepan-3-Yl)Amino]-3-Oxo-Propyl] 7-(Formyl-Hydroxy-Amino)-2-[[(2Z)-2-(6-Oxo-1-Cyclohexa-2,4-Dienylidene)Oxazolidine-4-Carbonyl]Amino]Heptanoate; 7-(Formyl-Hydroxyamino)-2-[[Oxo-[(2Z)-2-(6-Oxo-1-Cyclohexa-2,4-Dienylidene)-4-Oxazolidinyl]Methyl]Amino]Heptanoic Acid [3-[(1-Hydroxy-2-Oxo-3-Azepanyl)Amino]-3-Oxopropyl] Ester; 7-(Formyl-Hydroxy-Amino)-2-[[(2Z)-2-(6-Keto-1-Cyclohexa-2,4-Dienylidene)Oxazolidine-4-Carbonyl]Amino]Enanthic Acid [3-[(1-Hydroxy-2-Keto-Azepan-3-Yl)Amino]-3-Keto-Propyl] Ester
分子结构 CAS 登录号:1400-46-0, 分枝杆菌素
分子式 C27H37N5O10
分子量 591.62
CAS 登录号 1400-46-0
分子行输入简码 SMILES C(C(NC(=O)C1NC(/OC1)=C2/C(=O)C=CC=C2)C(OCCC(=O)NC3CCCCN(O)C3=O)=O)CCCCN(O)C=O
国际化学标识码 InChI 1S/C27H37N5O10/c33-17-31(39)13-6-1-2-10-20(29-24(36)21-16-42-25(30-21)18-8-3-4-11-22(18)34)27(38)41-15-12-23(35)28-19-9-5-7-14-32(40)26(19)37/h3-4,8,11,17,19-21,30,39-40H,1-2,5-7,9-10,12-16H2,(H,28,35)(H,29,36)/b25-18-
国际化学标识检索码 InChIKey NGQYHMUFXKSYFU-BWAHOGKJSA-N
物理化学性质
密度 1.414g/cm3 (计算值)
市场分析报告
请浏览分枝杆菌素市场分析报告总目录
相关产品
苯巴比妥奎尼丁  2-甲氧基乙基(R)-12-(乙酰氧基)油酸酯  O,O'-(5-氧代-1,3-二氧戊环-4-亚基)...  哌嗪氢溴酸盐  4,4'-(1-甲基戊亚基)双酚  三氯(2-甲基丁基)硅烷  21-羟基孕甾-4-烯-3,20-二酮21-(3-...  布替他酯  哌氧平二盐酸盐  3-溴四氢噻吩1,1-二氧化物  1-丁基-3-烟酰脲  甲酚酰胺  哌氧平  3-alpha-[(4-氯苯基)苯基甲氧基]莨菪烷...  3-[2-(二乙基氨基)乙基]-1H-吲哚-5-醇