Online Database of Chemicals from Around the World

阿波霉素
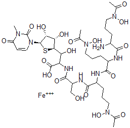
[CAS# 1414-39-7]

供应商
CAS#: 1414-39-7
产品: 阿波霉素
暂时没有厂家供应该产品。
基本信息
产品名称 阿波霉素
英文名 Albomycin
别名 Ferric 2-[[2-[[5-(Acetyl-Hydroxy-Amino)-2-[[5-(Acetyl-Hydroxy-Amino)-2-[[5-(Acetyl-Hydroxy-Amino)-2-Amino-Pentanoyl]Amino]Pentanoyl]Amino]Pentanoyl]Amino]-3-Hydroxy-Propanoyl]Amino]-3-[(2R,3S,4R,5R)-3,4-Dihydroxy-5-(3-Methyl-2,4-Dioxo-Pyrimidin-1-Yl)Tetrahydrothiophen-2-Yl]-3-Hydroxy-Propanoic Acid; Ferric 2-[[2-[[5-(Acetyl-Hydroxyamino)-2-[[5-(Acetyl-Hydroxyamino)-2-[[5-(Acetyl-Hydroxyamino)-2-Amino-1-Oxopentyl]Amino]-1-Oxopentyl]Amino]-1-Oxopentyl]Amino]-3-Hydroxy-1-Oxopropyl]Amino]-3-[(2R,3S,4R,5R)-3,4-Dihydroxy-5-(3-Methyl-2,4-Dioxo-1-Pyrimidinyl)-2-Tetrahydrothiophenyl]-3-Hydroxypropanoic Acid; Ferric 2-[[2-[[5-(Acetyl-Hydroxy-Amino)-2-[[5-(Acetyl-Hydroxy-Amino)-2-[[5-(Acetyl-Hydroxy-Amino)-2-Amino-Pentanoyl]Amino]Pentanoyl]Amino]Pentanoyl]Amino]-3-Hydroxy-Propanoyl]Amino]-3-[(2R,3S,4R,5R)-5-(2,4-Diketo-3-Methyl-Pyrimidin-1-Yl)-3,4-Dihydroxy-Tetrahydrothiophen-2-Yl]-3-Hydroxy-Propionic Acid
分子结构 CAS 登录号:1414-39-7, 阿波霉素
分子式 C36H58FeN10O18S
分子量 1006.82
CAS 登录号 1414-39-7
分子行输入简码 SMILES [C@H]1(S[C@@H]([C@@H](O)[C@H]1O)C(O)C(NC(=O)C(NC(=O)C(NC(=O)C(NC(=O)C(N)CCCN(O)C(=O)C)CCCN(O)C(=O)C)CCCN(O)C(=O)C)CO)C(=O)O)N2C(=O)N(C(=O)C=C2)C.[Fe+3]
国际化学标识码 InChI 1S/C36H58N10O18S.Fe/c1-17(48)44(62)12-5-8-20(37)30(55)38-21(9-6-13-45(63)18(2)49)31(56)39-22(10-7-14-46(64)19(3)50)32(57)40-23(16-47)33(58)41-25(35(59)60)26(52)29-27(53)28(54)34(65-29)43-15-11-24(51)42(4)36(43)61;/h11,15,20-23,25-29,34,47,52-54,62-64H,5-10,12-14,16,37H2,1-4H3,(H,38,55)(H,39,56)(H,40,57)(H,41,58)(H,59,60);/q;+3/t20?,21?,22?,23?,25?,26?,27-,28+,29+,34+;/m0./s1
国际化学标识检索码 InChIKey NDZHMVWHFMFIEG-ZYBDUZOASA-N
市场分析报告
请浏览阿波霉素市场分析报告总目录
相关产品
(17Z,19Z,21Z,23Z,25Z)-4,6...  (17Z,19Z,21Z,23Z,25Z)-3-乙...  3-乙氧基丙酸丙基酯  3-乙氧基丙酸丁基酯  3-乙氧基丙酸戊基酯  4-[[(2S)-3-(1H-吲哚-3-基)-1-...  3-丁氧基丙酸丁基酯  N-甲基氨基甲酸3-(二甲基氨基)-4-甲基苯基酯  2-甲基-3-亚甲基戊-1-烯  2-氯-N-[(2R)-2-苯基丙基]乙酰胺  羟基乙醛  N,N-二苄基吡啶-4-甲胺  人胰岛素-样-生长-因子-I(21-40)  二苯并[去,St]并五苯  4-氧代-6-丙基苯并吡喃-2-羧酸