Online Database of Chemicals from Around the World

(2S,3R,4S,5R,6R)-2-[(2S,3R,4S,5S,6R)-4,5-二羟基-6-(羟基甲基)-2-[(2R,3R,4S,5S,6R)-3,4,5-三羟基-6-(羟基甲基)四氢吡喃-2-基]氧基四氢吡喃-3-基]氧基-6-(羟基甲基)四氢吡喃-3,4,5-三醇
[CAS# 141781-71-7]

供应商
CAS#: 141781-71-7
产品: (2S,3R,4S,5R,6R)-2-[(2S,3R,4S,5S,6R)-4,5-二羟基-6-(羟基甲基)-2-[(2R,3R,4S,5S,6R)-3,4,5-三羟基-6-(羟基甲基)四氢吡喃-2-基]氧基四氢吡喃-3-基]氧基-6-(羟基甲基)四氢吡喃-3,4,5-三醇
暂时没有厂家供应该产品。
基本信息
产品名称 (2S,3R,4S,5R,6R)-2-[(2S,3R,4S,5S,6R)-4,5-二羟基-6-(羟基甲基)-2-[(2R,3R,4S,5S,6R)-3,4,5-三羟基-6-(羟基甲基)四氢吡喃-2-基]氧基四氢吡喃-3-基]氧基-6-(羟基甲基)四氢吡喃-3,4,5-三醇
英文名 (2S,3R,4S,5R,6R)-2-[(2S,3R,4S,5S,6R)-4,5-Dihydroxy-6-(Hydroxymethyl)-2-[(2R,3R,4S,5S,6R)-3,4,5-Trihydroxy-6-(Hydroxymethyl)Oxan-2-Yl]Oxyoxan-3-Yl]Oxy-6-(Hydroxymethyl)Oxane-3,4,5-Triol
别名 (2S,3R,4S,5R,6R)-2-[(2S,3R,4S,5S,6R)-4,5-Dihydroxy-6-(Hydroxymethyl)-2-[(2R,3R,4S,5S,6R)-3,4,5-Trihydroxy-6-(Hydroxymethyl)Tetrahydropyran-2-Yl]Oxy-Tetrahydropyran-3-Yl]Oxy-6-(Hydroxymethyl)Tetrahydropyran-3,4,5-Triol; (2S,3R,4S,5R,6R)-2-[[(2S,3R,4S,5S,6R)-4,5-Dihydroxy-6-(Hydroxymethyl)-2-[[(2R,3R,4S,5S,6R)-3,4,5-Trihydroxy-6-(Hydroxymethyl)-2-Tetrahydropyranyl]Oxy]-3-Tetrahydropyranyl]Oxy]-6-(Hydroxymethyl)Tetrahydropyran-3,4,5-Triol; (2S,3R,4S,5R,6R)-2-[(2S,3R,4S,5S,6R)-4,5-Dihydroxy-6-Methylol-2-[(2R,3R,4S,5S,6R)-3,4,5-Trihydroxy-6-Methylol-Tetrahydropyran-2-Yl]Oxy-Tetrahydropyran-3-Yl]Oxy-6-Methylol-Tetrahydropyran-3,4,5-Triol
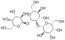
分子结构 CAS 登录号:141781-71-7, (2S,3R,4S,5R,6R)-2-[(2S,3R,4S,5S,6R)-4,5-二羟基-6-(羟基甲基)-2-[(2R,3R,4S,5S,6R)-3,4,5-三羟基-6-(羟基甲基)四氢吡喃-2-基]氧基四氢吡喃-3-基]氧基-6-(羟基甲基)四氢吡喃-3,4,5-三醇
分子式 C18H32O16
分子量 504.44
CAS 登录号 141781-71-7
分子行输入简码 SMILES [C@H]3(O[C@@H]1O[C@@H]([C@H](O)[C@H](O)[C@H]1O)CO)[C@H](O[C@H]2O[C@@H]([C@@H](O)[C@H](O)[C@H]2O)CO)O[C@@H]([C@@H](O)[C@@H]3O)CO
国际化学标识码 InChI 1S/C18H32O16/c19-1-4-7(22)10(25)13(28)16(30-4)33-15-12(27)9(24)6(3-21)32-18(15)34-17-14(29)11(26)8(23)5(2-20)31-17/h4-29H,1-3H2/t4-,5-,6-,7+,8-,9-,10+,11+,12+,13-,14-,15-,16+,17-,18+/m1/s1
国际化学标识检索码 InChIKey ZZQBFMYCMRVZFG-JYPKAZJXSA-N
市场分析报告
请浏览(2S,3R,4S,5R,6R)-2-[(2S,3R,4S,5S,6R)-4,5-二羟基-6-(羟基甲基)-2-[(2R,3R,4S,5S,6R)-3,4,5-三羟基-6-(羟基甲基)四氢吡喃-2-基]氧基四氢吡喃-3-基]氧基-6-(羟基甲基)四氢吡喃-3,4,5-三醇市场分析报告总目录
相关产品
(3-甲基环氧乙烷-2-基)甲基4-硝基苯甲酸酯  2-(4-叠氮基-3-碘苯基)乙基3-(4-氯苯基...  钙二钠氟-二氧代-氧代膦烷碳酸盐  [(2S,3S,5R)-3-叠氮基-5-(5-甲基...  3,5-二氯-4-[3-(2,6-二氯-4-羟基苯...  2-氧代-1,2,3,4-四氢喹啉-4-羧酸  1,12-二氯-4,9-二氧杂十二烷-2,11-二...  N,N-二丁基苯乙胺盐酸盐  [(3aR,4R,6R,6aR)-4-(2,4-二...  (2S)-N-[(2S)-4-[(4R)-4-(叔...  二烯丙基砜  5-(2-羟基丙基氨基)-1-苯基戊烷-2-酮  4-(2-羟基乙基氨基)-1-噻吩-2-基丁烷-1...  (2E,4E)-6-羟基己-2,4-二烯醛  2,4-二羟基-6-(羟基甲基)-6-甲基-2,4...